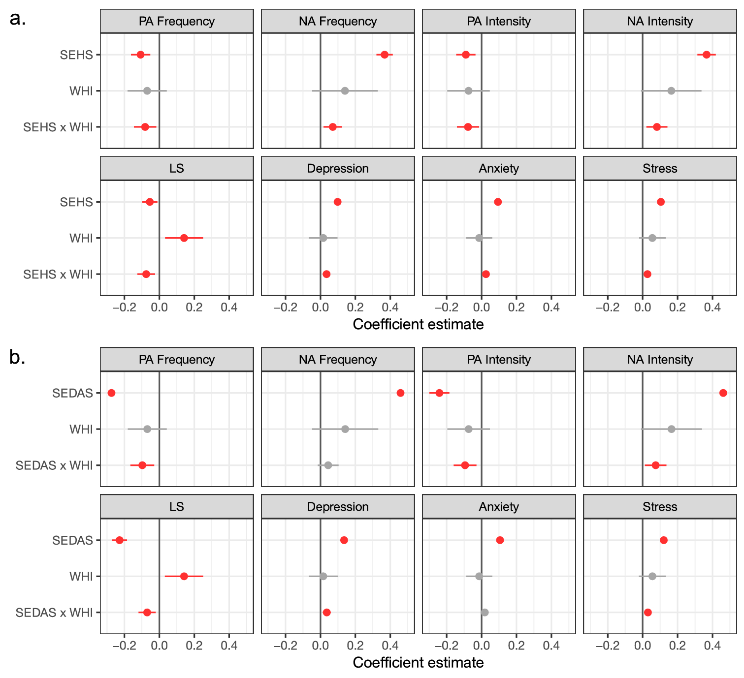
Figure 1
From: Perceiving societal pressure to be happy is linked to poor well-being, especially in happy nations

Exploring the differential role of the perceived social pressure (a) to be happy and (b) not to be depressed or anxious in various well-being indicators as function of countries’ World Happiness Index (WHI). Dots represent the magnitude of the fixed effects in each multilevel model (red = significant; gray = non-significant with α = .05), error bars refer to the 95% confidence interval. Intercepts are not presented for optimal visibility, but were always significant with ps ≤ .001. Original values, standard errors, test statistics and p-values can be found in Supplementary Tables 2 and 3. PA = Positive Affect; NA = Negative Affect; LS = Life Satisfaction; SEHS = Social Expectancies to be Happy Scale; SEDAS = Social Expectancies not to feel Depressed or Anxious Scale.