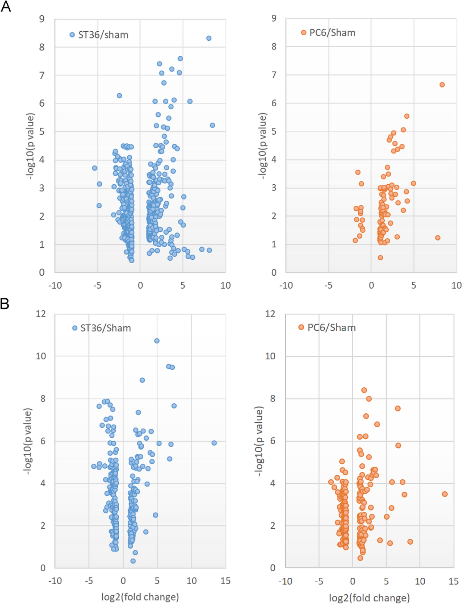
Figure 3
From: Metabolism modulation in rat tissues in response to point specificity of electroacupuncture

Volcano plots of metabolite signals with significant fold changes in heart and stomach tissues of EA-treated rats. Metabolite signals with fold changes (ST36/sham > 2; PC6/sham > 2) in rat (A) heart and (B) stomach tissues were plotted by log2(fold change) with − log10(p value). The results were summarized by filtering the detected LC–MS signals from the ESI + and ESI − modes (n = 6 for each EA treatment).