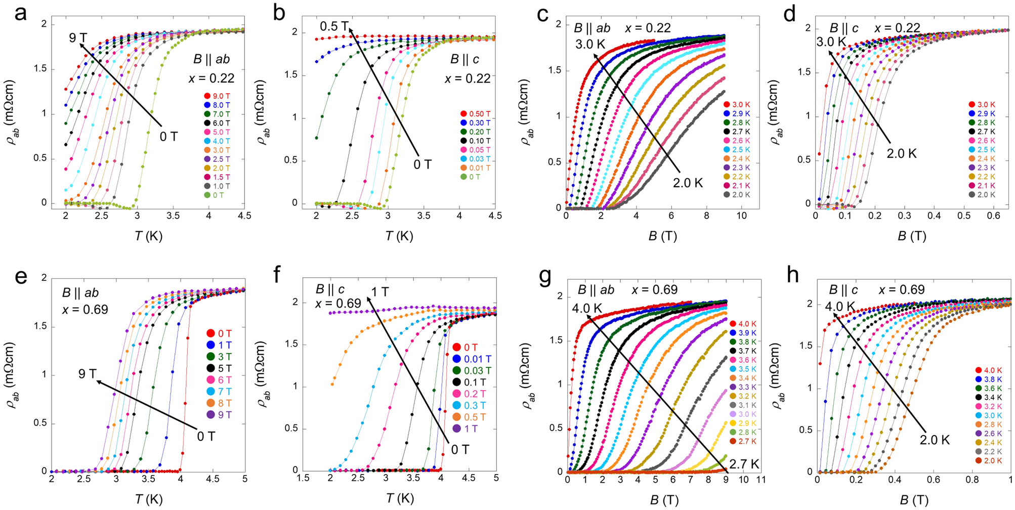
Figure 2

In-plane resistivity ρab for x = 0.22 and 0.69 in the presence of a magnetic field. (a,b) Temperature dependence of the in-plane resistivity ρab in the presence of a magnetic field for x = 0.22 in \(B\parallel ab\) (a) and \(B\parallel c\) (b). The arrows denote the direction from low to high fields. (c,d) Field dependence of the ρab at different temperatures for x = 0.22 in \(B\parallel ab\) (c) and \(B\parallel c\) (d). The arrows denote the direction from low to high temperatures. (e–h) ρab(T) in \(B\parallel ab\) (e) and \(B\parallel c\) (f), and ρab(B) in \(B\parallel ab\) (g) and \(B\parallel c\) (h) for x = 0.69.