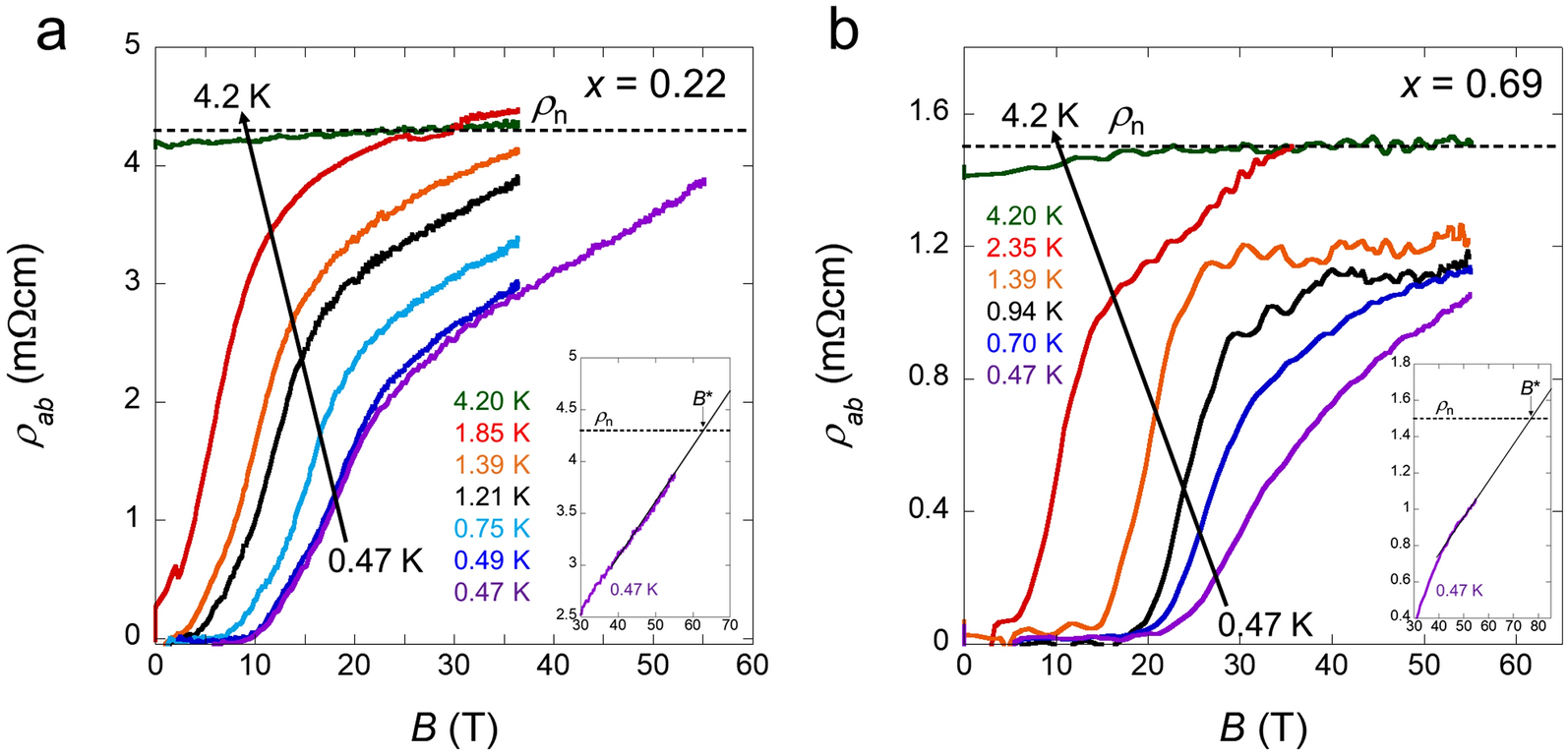
Figure 3

Field dependence of the resistivity by a pulsed magnetic field. (a,b) Field dependence of the in-plane resistivity in \(B\parallel ab\) for x = 0.22 (a) and 0.69 (b). The ρn (black dashed lines) denotes normal resistivity in the pulsed-field measurement. The insets show magnified views of the ρab(B) curves at ~ 0.47 K near ρn. B* is defined as the intersection of the extrapolation of the ρab(B) curves and the ρn.