Figure 2
From: Learning self-driven collective dynamics with graph networks

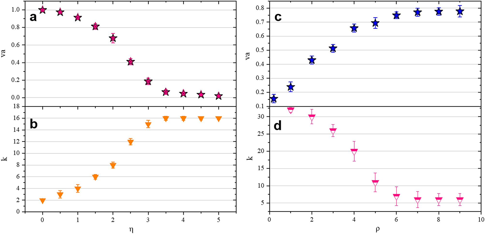
The effect of noise and density on order parameters. (a) The density is the same, (N = 4000, L = 31.6, that is, \(\rho \) = 4) the relationship between \(v_a\) and noise, \(v_a\) decreases with the increase of noise. (b) When the density is the same (N = 4000, L = 31.6, \(\rho \) = 4 can be obtained), the relationship between k and noise in the collective. When the density is constant, as the noise increases, the value of k increases accordingly. (c) In the case of constant noise (here, \(\eta \) = 2.0, L = 20), \(v_a\) increases with the increase of density. (d) When the noise is constant (\(\eta \) = 2.0, L = 20), the relationship between k and the density in the collective. As the density increases, the k value decreases.