Figure 1
From: Inference on the dynamics of COVID-19 in the United States

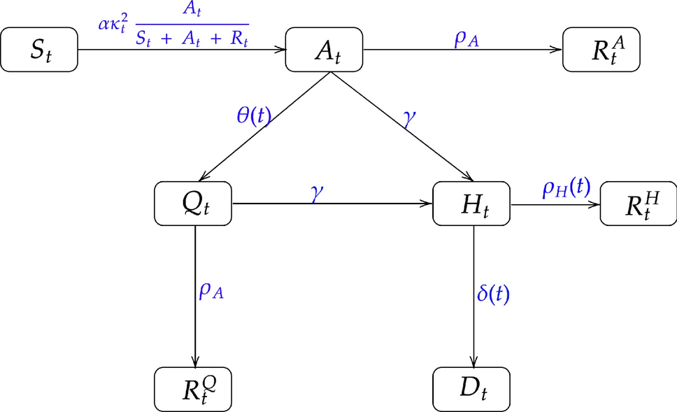
A graphical representation of the disease propagation model. \(S_t,\ A_t, \ H_t,\ Q_t,\ D_t\) are the number of susceptible, infected, hospitalized, quarantined, and deceased people at time t respectively. \(R^Q_t, \ R^H_t,\ R^A_t\) represent the recovered population from quarantined, hospitalization, and infected but asymptotic stages respectively. The rate parameters are as described in “Disease propagation model” section.