Figure 2
From: Interocular symmetry of optical coherence tomography parameters in healthy children and adolescents

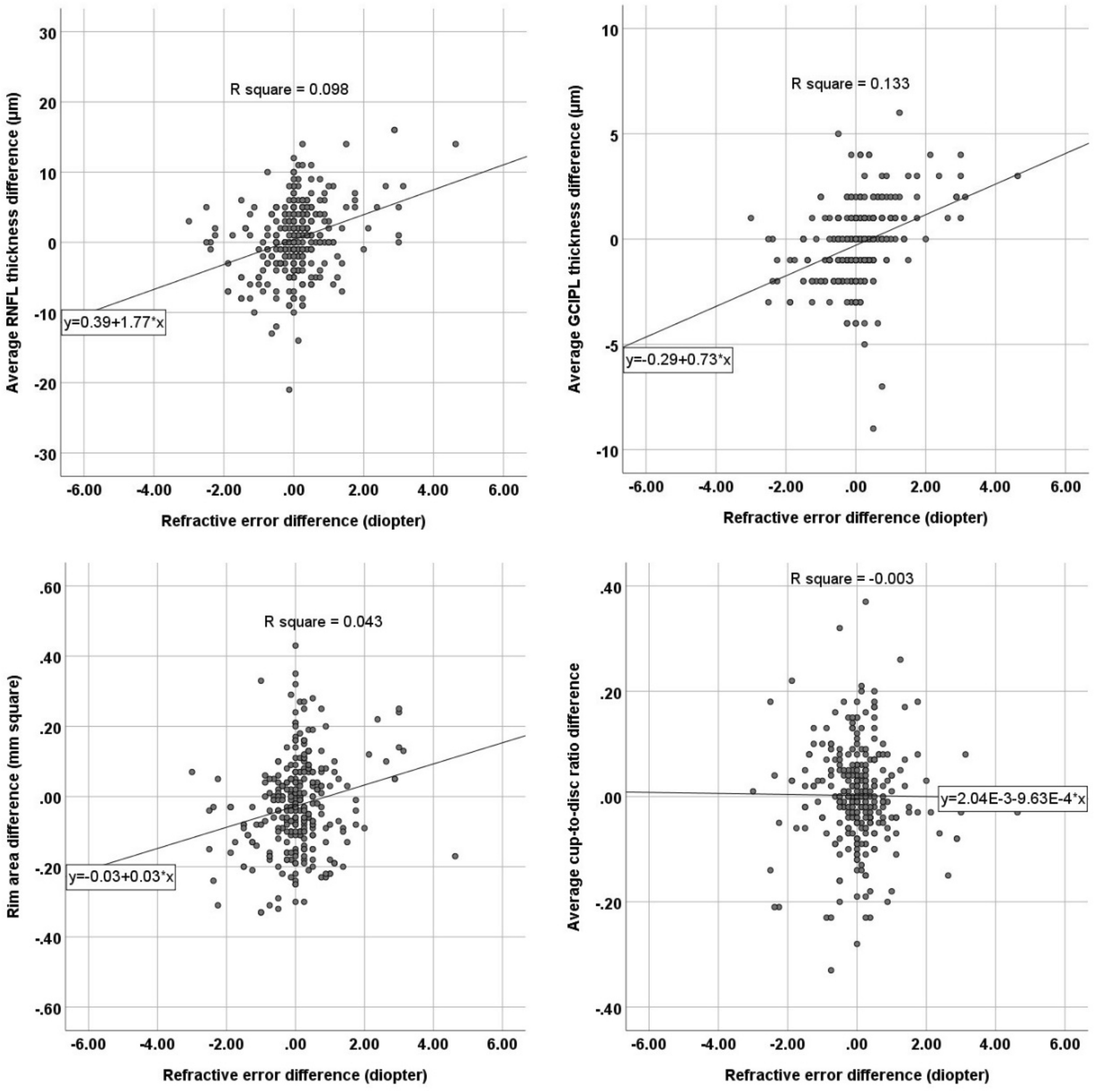
Scatter plot presenting the correlation between the interocular refractive error difference (right eye–left eye) and interocular differences in the average retinal nerve fiber layer (RNFL) thickness, average ganglion cell-inner plexiform layer (GCIPL) thickness, rim area, and cup-to-disc ratio measured by optical coherence tomography.