Figure 3
From: Strain specific motility patterns and surface adhesion of virulent and probiotic Escherichia coli

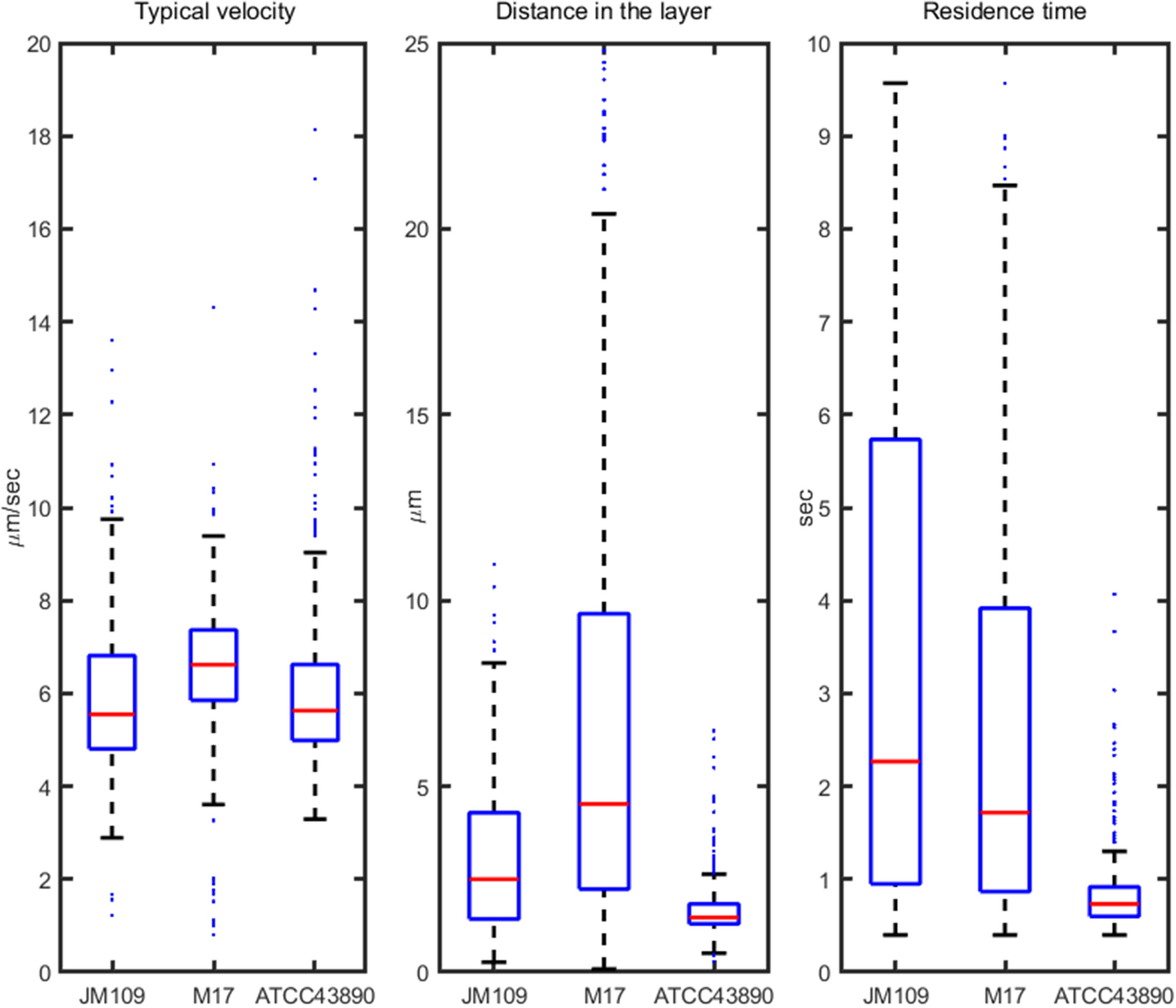
Boxplot with standard whiskers (1.5 IQR) of main characteristics of E. coli strains’ movement: typical bacterium velocity (left), typical distance covered by bacteria within the layer (middle), typical residence time spent in the layer (right). Red lines—median values for characteristics. All distributions consist of ~ 200 trajectories.