Figure 15
From: Biperiodic superlattices and transparent states in graphene

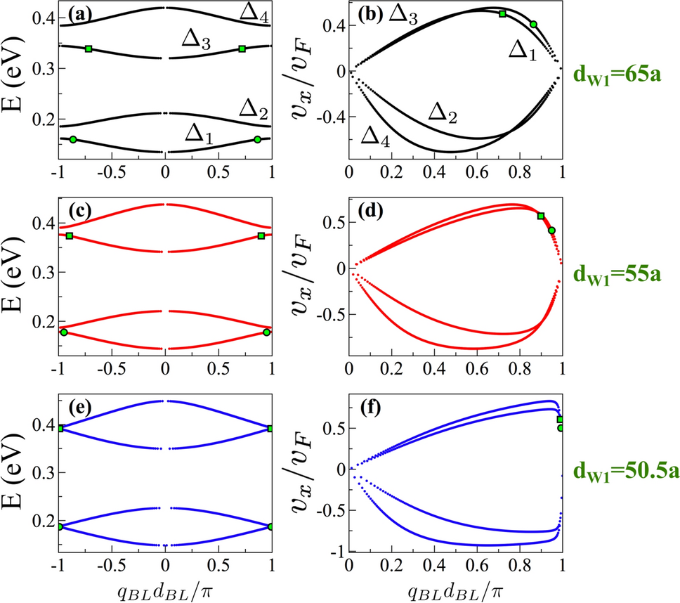
The same as Fig. 14, but here \(d_{W1}\) is varied as indicated. The biperiodic superlattice parameters are: \(V_0=0.1\) eV, \(d_B=d_{W2}=50a\) and \(\theta =45^{\circ }\). \(\Delta _1\), \(\Delta _2\), \(\Delta _3\) and \(\Delta _4\) represent the first, second, third and fourth electron energy minibands, respectively. The points and squares in color correspond to transparent states.