Figure 11
From: Roles of the semisolid heating on the microstructure of a hypereutectic Al–Fe–Cu alloy

(adapted from Ref.2).
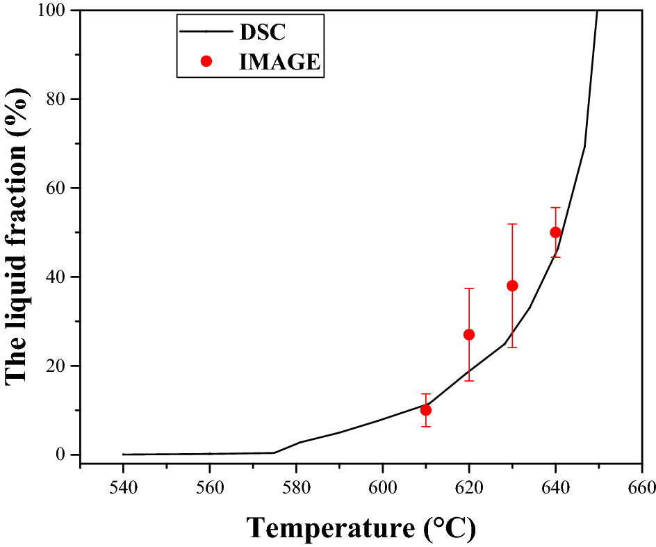
The liquid fractions of Al–Fe–Cu alloy by DSC and by Graphic observation for 30 min.
From: Roles of the semisolid heating on the microstructure of a hypereutectic Al–Fe–Cu alloy

(adapted from Ref.2).
The liquid fractions of Al–Fe–Cu alloy by DSC and by Graphic observation for 30 min.