Figure 7
From: Measurement-device-independent quantum key distribution with leaky sources

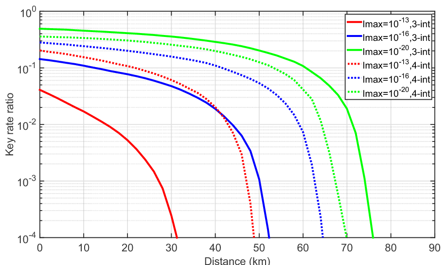
The ratio (\(\ell '_{I_{\text{max}}>0}/\ell '_{I_{\text{max}}=0}\)) between the secret key rates in logarithmic scale with and without information leakage as a function of the distance for a fixed number, \(N=10^{14}\), of transmitted pulses in the two protocols (3-int and 4-int represent the three-intensity decoy state MDI-QKD protocol and the four-intensity decoy-state MDI protocol that we consider, respectively).