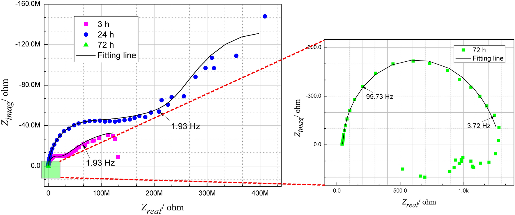
Figure 15 | Scientific Reports