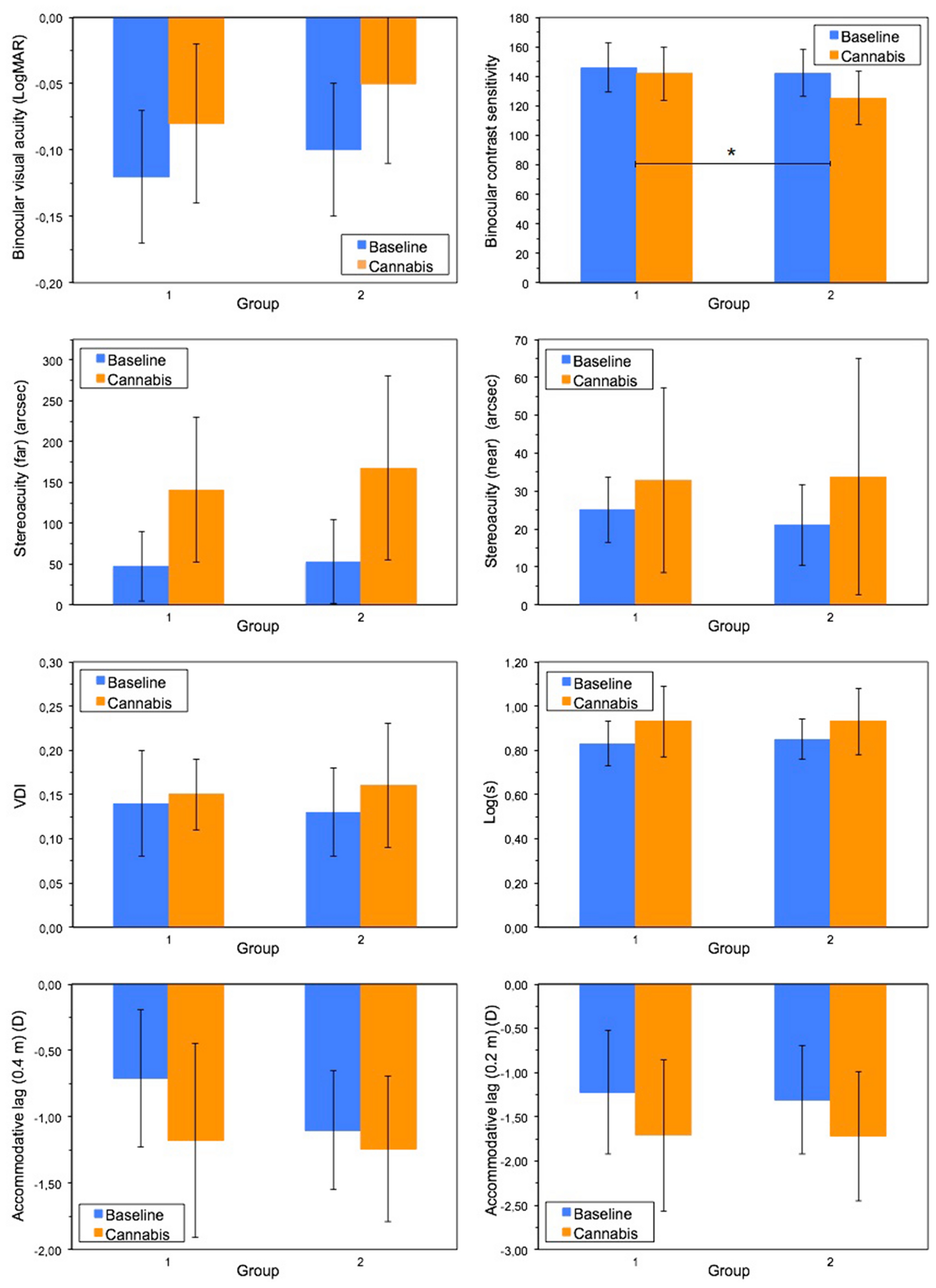
Figure 3
From: Effects of cannabis on visual function and self-perceived visual quality

Group comparison for the different visual parameters in the baseline session and after smoking cannabis. * Indicates that the decline after smoking was significantly higher in group 2 than group 1.