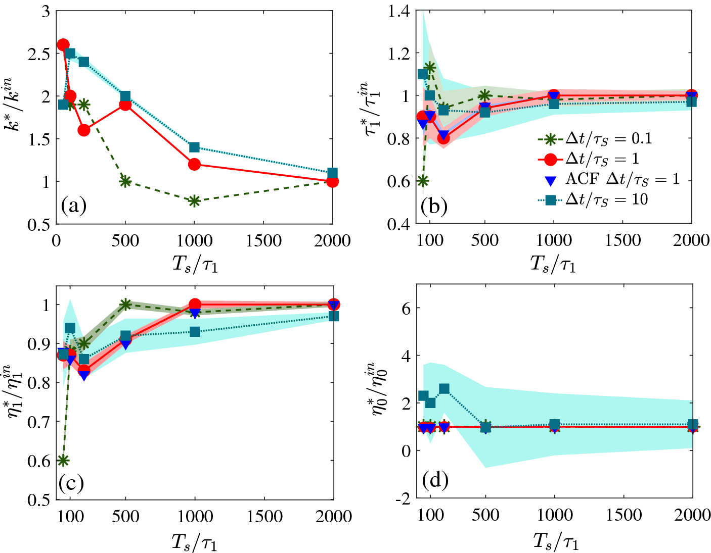
Figure 1
From: Bayesian inference of the viscoelastic properties of a Jeffrey’s fluid using optical tweezers

MAP estimations of the parameters using the Bayesian inference from simulated time series of various sampling time (\(T_{s}\)) and sampling time step (\(\Delta t\)) normalized by the longest (\(\tau _{1}\)) and the shortest (\(\tau _{S}\)) time scales of the process. (a) Estimated trap stiffness normalized by the input in the simulation (\(k^{in}=0.1\,\mu\)N/m) using Bayesian I. The inferences of (b) the time constants normalized by the input \(\tau _{1}^{in}=1\) s, (c) the polymer viscosity divided by the corresponding input \(\eta ^{in}_{1} = 0.1\) Pa s, (d) the solvent viscosity normalized by \(\eta ^{in}_{0} = 0.001\) Pa s, using Bayesan II and the values of the trap stiffness calculated from Bayesian I. The shaded regions correspond to one standard deviations of the estimations. Clearly, when the \(\Delta t\) is greater than \(\tau _{S}\), the standard errors of estimations decrease with the increase of \(T_{s}\). Blue triangles are the calculated parameters from the best fit of the ACF.