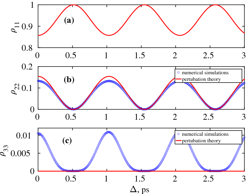
Figure 4

Dependence of the populations \(\rho _{11}\) (a), \(\rho _{22}\) (b), and \(\rho _{33}\) (c) on the delay \(\Delta\) between two Gaussian THz pulses for the \(H_2O\) molecule. Blue circles show the result of the numerical simulations, red solid line show the analytical results obtained from Eq. (19). Parameters: \(E_0=15 000\) V/cm, \(\tau _p=150\) fs, \(d_{12}=19.2\) Debye, \(\omega _0/2\pi =0.97\) THz, all the relaxation times \(T_{ik}=\infty\). This figure was created with Matlab R2016b (www.mathworks.com).