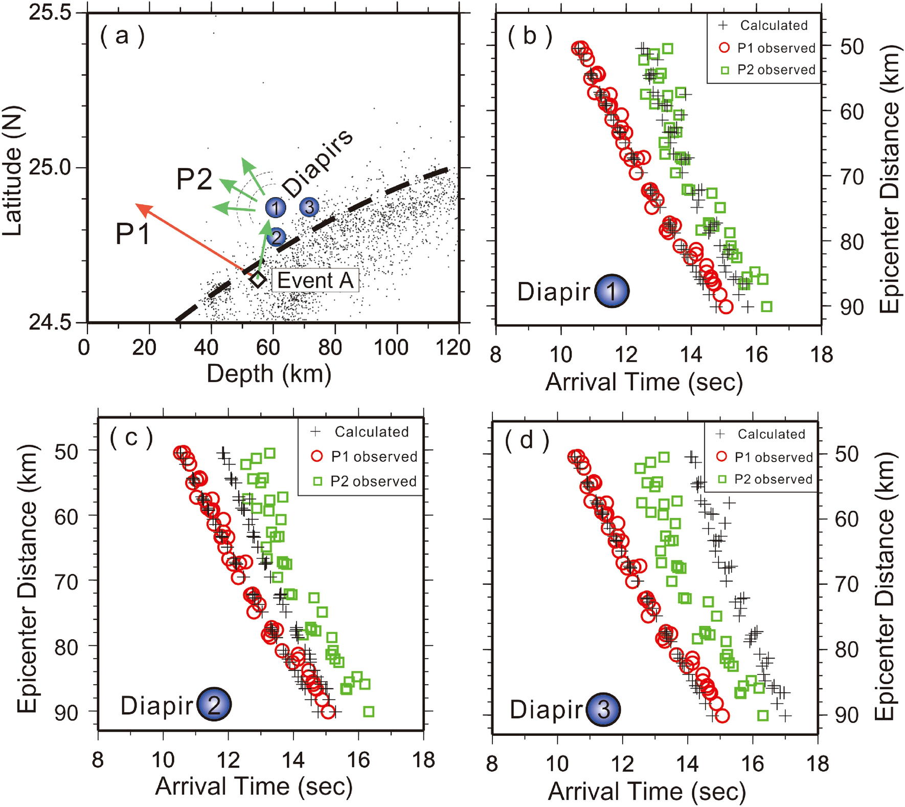
Figure 8
From: Mantle wedge diapirs detected by a dense seismic array in Northern Taiwan

Sensitivity test for comparing diapirs at three locations (1, 2 and 3) separated by 10 km. (a) Locations of diapirs (blue circles), earthquake (diamond) and background seismicity (small dots). The comparison between the observed arrivals of P1 (red circles) and P2 (green squares), and their calculated arrivals (pluses) for the reflectors at locations 1, 2 and 3 are shown (b–d), respectively. This figure was created by Generic Mapping Tools (GMT version 4.5.2; URL: gmt.soest.hawaii.edu).