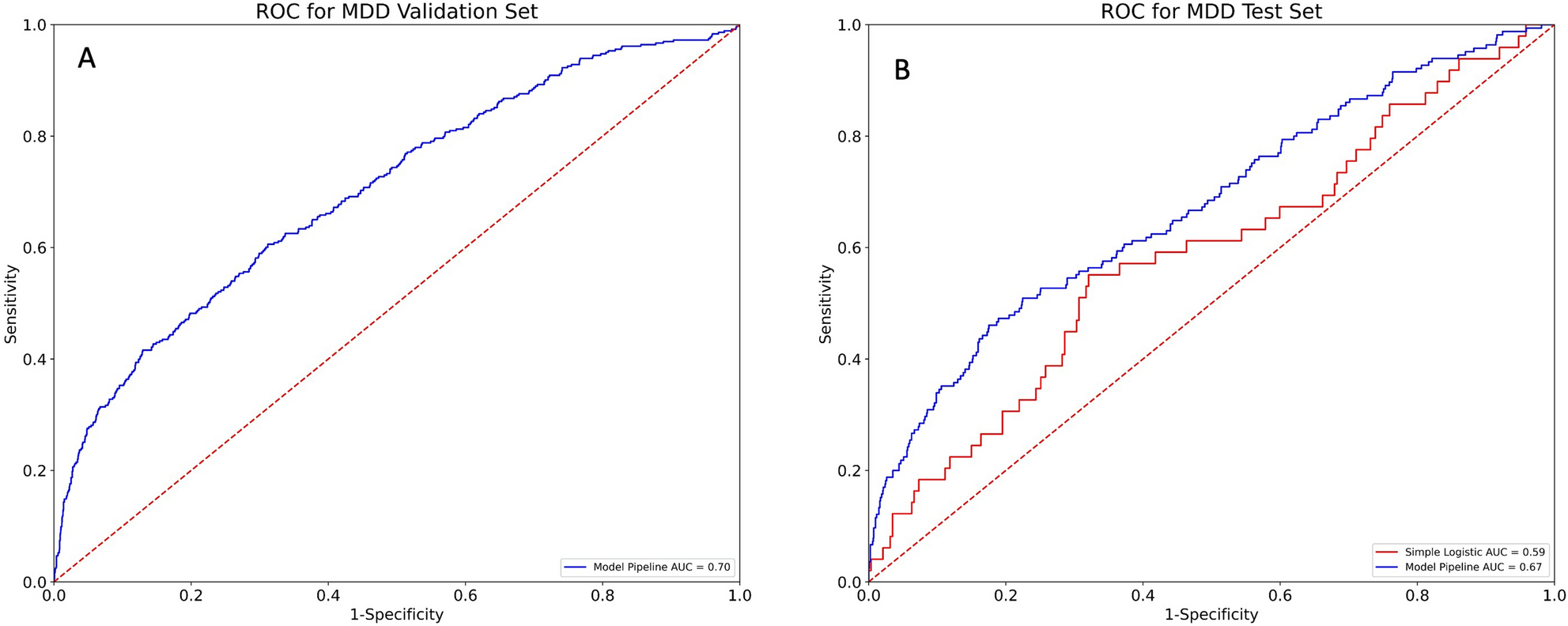
Figure 2

(A) AUC for prediction of MDD in the training set. (B) AUC for the prediction of depression in the held-out test set using both a simple logistic regression and our novel pipeline. These curves show the sensitivity and specificity at different thresholds for prediction.