Figure 5
From: Clinical implications of intrinsic molecular subtypes of breast cancer for sentinel node status

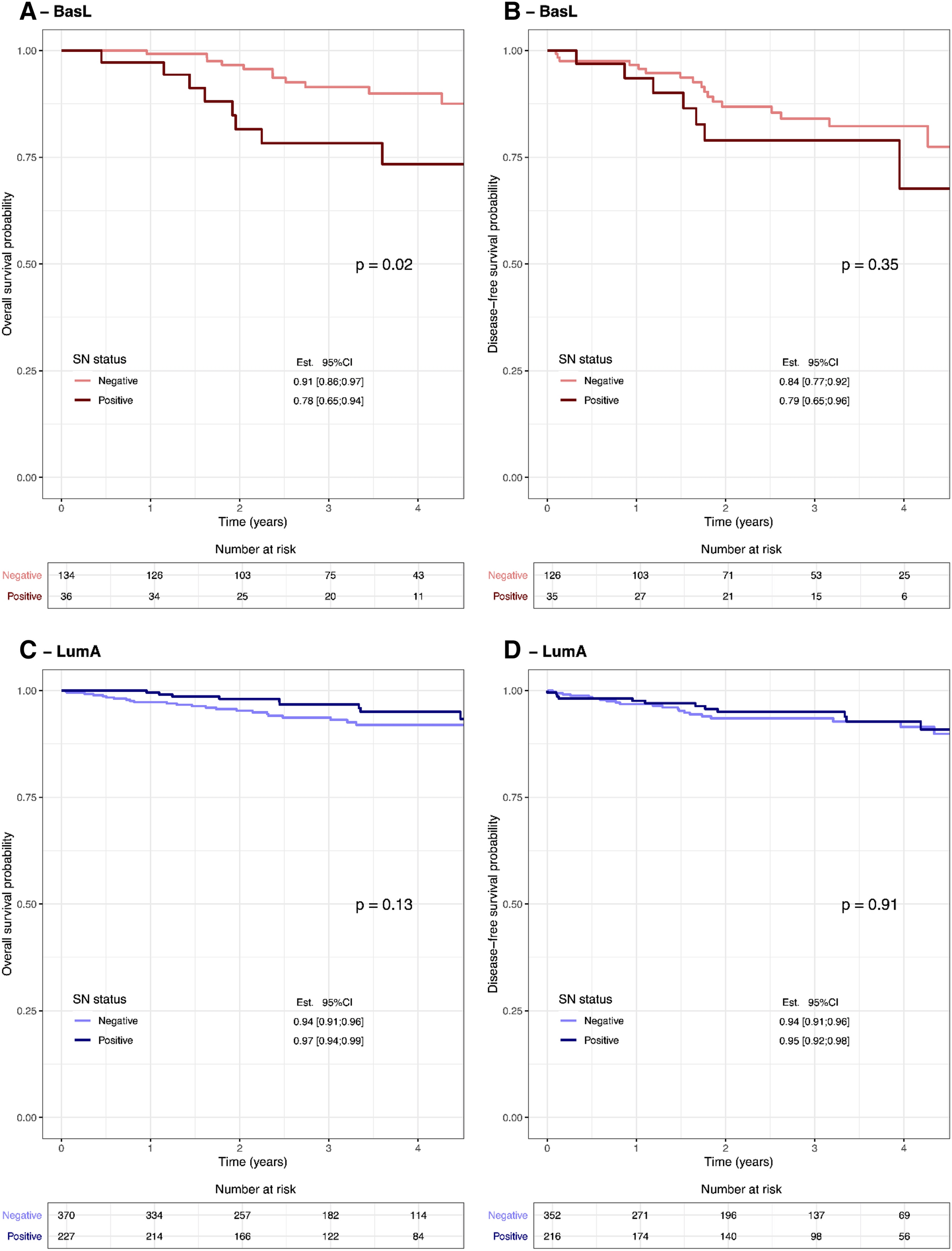
The overall survival of patients with a BasL subtype is depicted in (A). The disease-free survival of patients with a BasL subtype is depicted in (B). Sentinel node (SN) negative status (light pink), SN-positive status (dark red). The overall survival of patients with a LumA subtype is depicted in (C). The disease-free survival of patients with a LumA subtype is depicted in (D). SN-negative status (light blue), SN-positive status (dark blue). The estimated survival probability (Est.) and the associated 95% confidence interval (95% CI) are shown at time = 3 years for each SN status. Figure created using R32.