Figure 2
From: Quantification of stroke lesion volume using epidural EEG in a cerebral ischaemic rat model

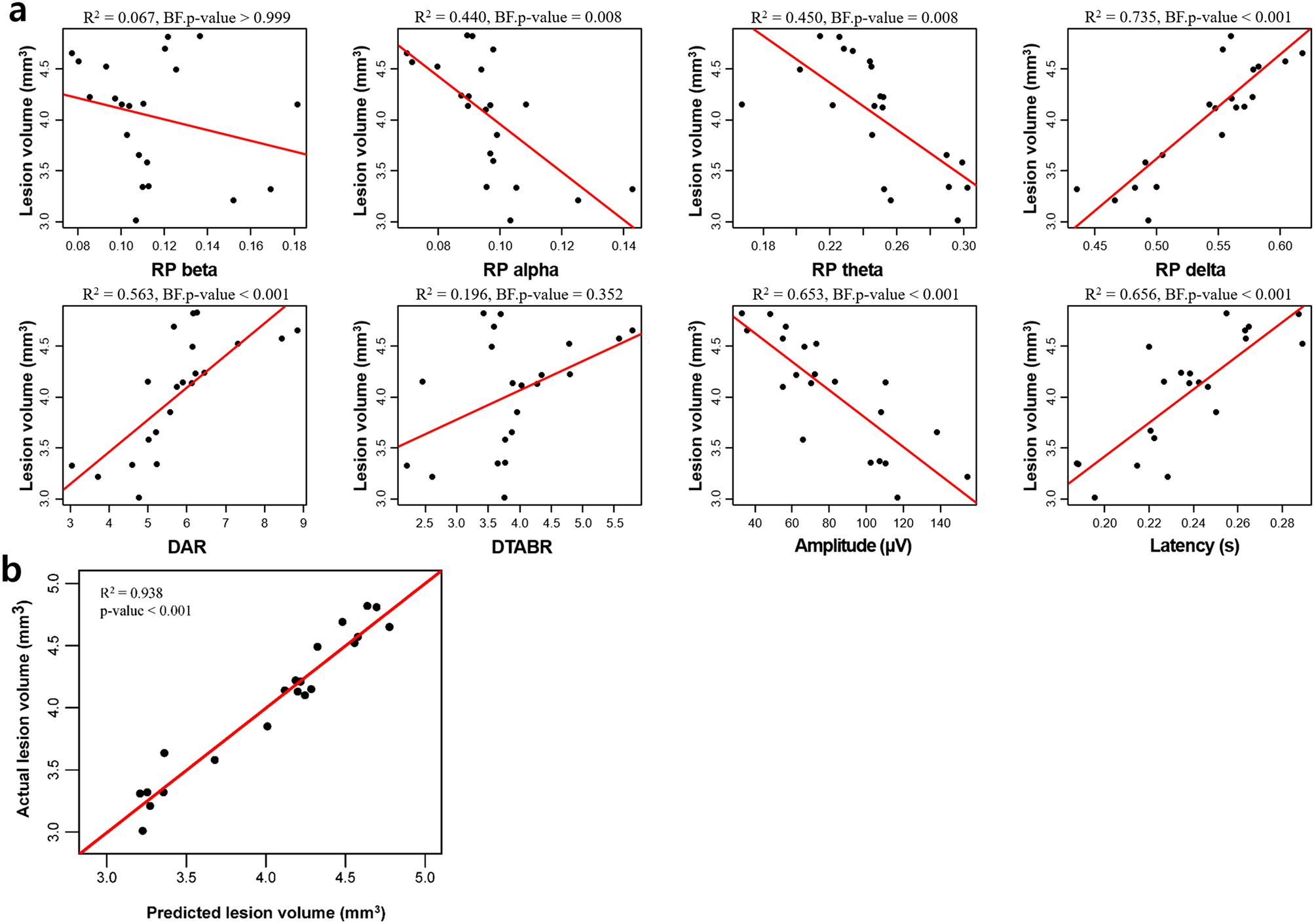
Scatter plots of individual data. (a) Scatter plots showing the relationship between each stroke-related EEG parameter and stroke lesion volume and (b) predicted stroke lesion volume using multiple linear regression model and actual stroke lesion volume. DAR, delta/alpha ratio; DTABR, (delta + theta)/(alpha + beta) ratio. BF.p value indicates Bonferroni corrected p values.