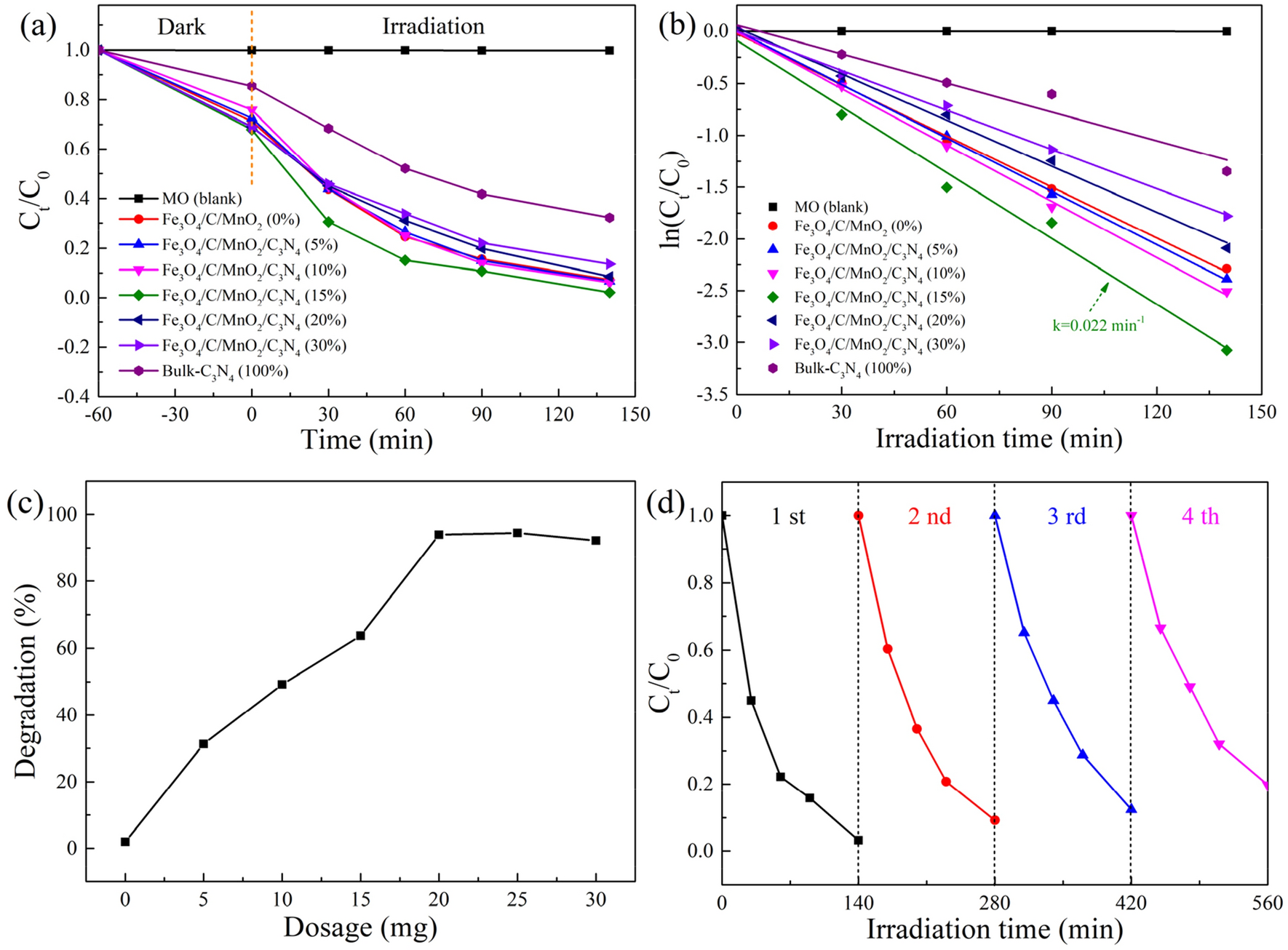
Figure 7

Effect of the amount of C3N4 on the degradation of MO (a,b), effect of the amount of Fe3O4/C/MnO2/C3N4 photocatalyst on the degradation of MO (c), cyclic test of MO degradation of Fe3O4/C/MnO2/C3N4 photocatalyst (d). Reaction conditions: [MO] = 65 mL, 10 mg/L, [light] = 400 W metal halide lamp, T = 25 °C, t = 140 min. For (a,b,d), [photocatalyst] = 20 mg.