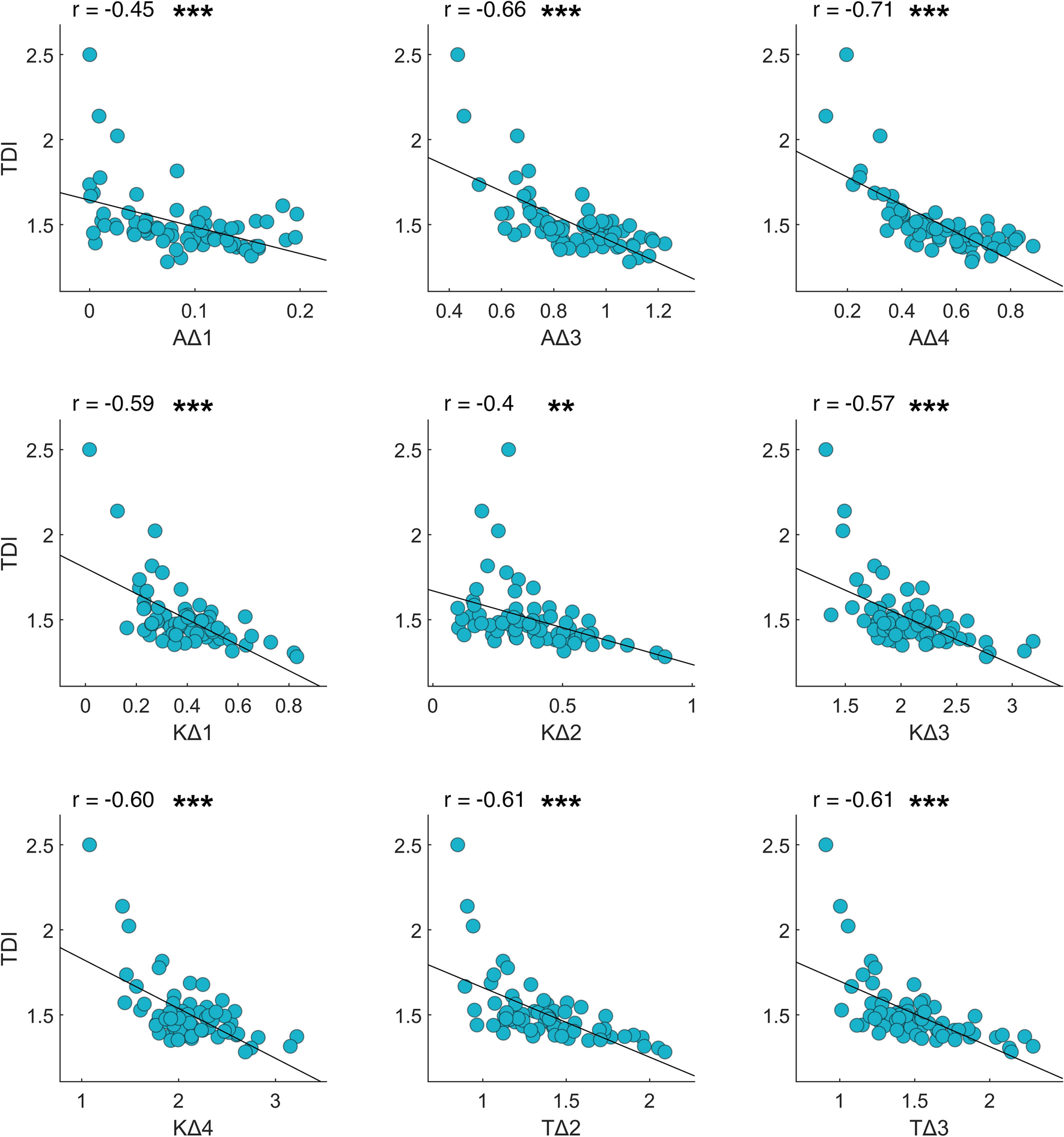
Figure 5

TDI and kinematic gait parameters. Pearson coefficient correlation between trunk displacement index (TDI) and kinematic gait parameters. The Δ values are calculated as the difference between two consecutive peaks (minimum or maximum joint excursion degree). The correlation includes healthy controls, individuals with Parkinson’s disease before L-DOPA intake, individuals with Parkinson’s disease after L-DOPA intake. Ankle Δ (AΔ−), Knee Δ (KΔ−), Thigh Δ (TΔ−). Significance p value: *p < 0.05, **p < 0.01, ***p < 0.001.