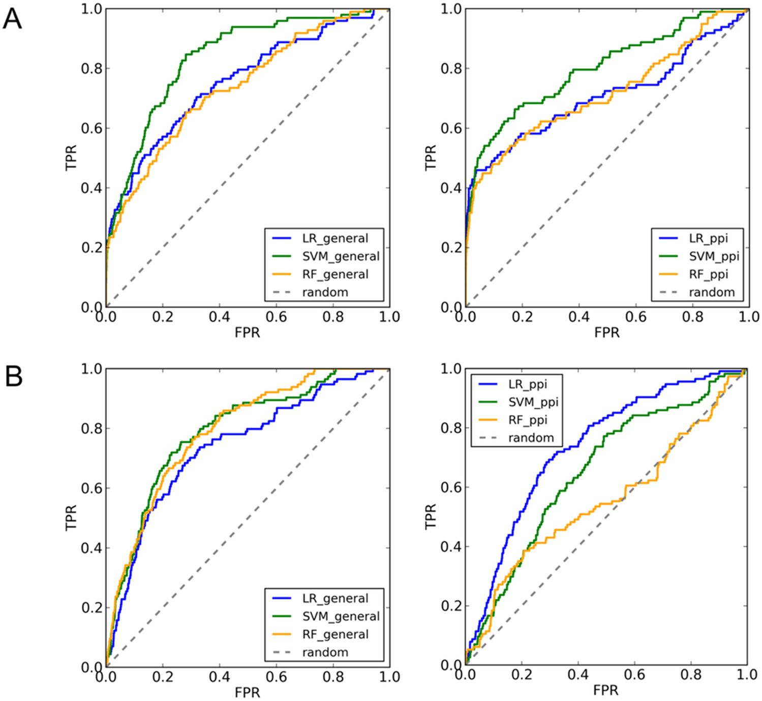
Figure 8
From: New machine learning and physics-based scoring functions for drug discovery

AUC ROC curves of the general (left) and PPI-specific (right) scoring functions trained with MLR, SMOreg and RF for the Bcl2-like/BAX (A) and MDM2/p53 (B) datasets.