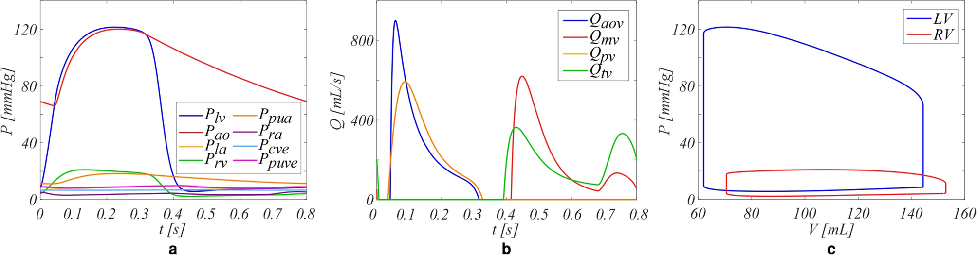
Figure 2

Hemodynamic waveforms of the healthy condition. (a) Pressures, (b) flows, and (c) pressure–volume (PV) loops. Subscripts: lv left ventricle, Ao aortic and arterial vessels, sr systemic vascular bed, rv right ventricle, PuA pulmonary arteries, pr pulmonary vascular bed, Aov aortic valve, Mv mitral valve, Pv pulmonary valve, Tv tricuspid valve. The LV presents with flow peaks which are higher than the RV, exhibiting an LV pressure almost 6 times greater than the RV estimated one, both having a stroke volume of about 80 mL.