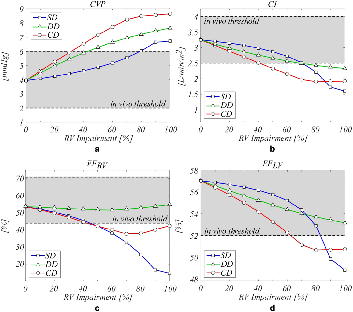
Figure 5

Comparison at various rates of impairment between the different types of dysfunction (symbols) and in vivo reference data (grey area) for a healthy subject. □, systolic dysfunction, ∆, diastolic dysfunction, and ○, combined systolic and diastolic dysfunction. (a) CVP, mean pressure in the central veins and in vivo data53, (b) CI, cardiac index and in vivo data53, and EF, ejection fraction for (c) right ventricle (RV) (EFRV) and in vivo data59, and (d) left ventricle (LV) (EFLV) and in vivo data60.