Figure 6
From: The G127V variant of the prion protein interferes with dimer formation in vitro but not in cellulo

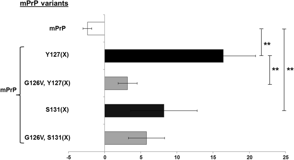
Homodimer formation is diminished for G126V mutants of mPrPs. The homodimers were detected by photo-crosslinking single-type pBpa-mutant mPrPs: mPrP(Y127pBpa) or mPrP(S131pBpa) either comprising (grey color bars) or not (black bars) a 126Val mutation. mPrP containing no pBpa was used as the negative control (white bar). Percentages were calculated based on gel densitometry analysis as described in the Materials and methods. Statistical significance of differences was calculated by unpaired t-test. Significantly different pairs and the level of significance are indicated on the graph, stars correspond to p levels **p ≤ 0.01. “(X)” stands for pBpa in the notation of Y-axis category names referring to the pBpa-mutation at the indicated positions.