Figure 4
From: Jumping over baselines with new methods to predict activation maps from resting-state fMRI

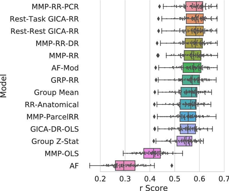
Pearson r correlation score results for 100 subject test set averaged across contrasts. Models are ordered top to bottom by score. These scores appear as the first column in Fig. 2. Top performing models perform similarly between each other. Individual subject scores from the test-set are plotted along with box-whisker plots showing quartiles of prediction score distribution.