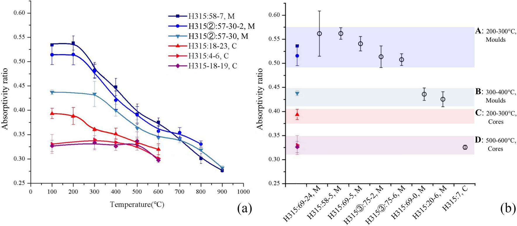
Figure 5

(a) Firing temperature estimation via the refiring approach. Change in absorptivity ratio with increasing firing temperature is plotted for six artifacts subjected to laboratory refiring. The top three curves are moulds (M), and the bottom three are cores (C). Error bars represent the standard deviation among three samples measured per artifact; (b) Firing temperature estimation via the calibration curve approach. Absorptivity ratio values are plotted for the six artifacts analyzed using the refiring approach (colored data points; shapes/colors correspond to those used in (a)) and for the eight artifacts not subjected to refiring (unfilled circles). Four clusters (A-D) are identified and correlated with firing temperature estimates made using the refiring approach.