Figure 5
From: Systematic competition between strain and electric field stimuli in tuning EELS of phosphorene

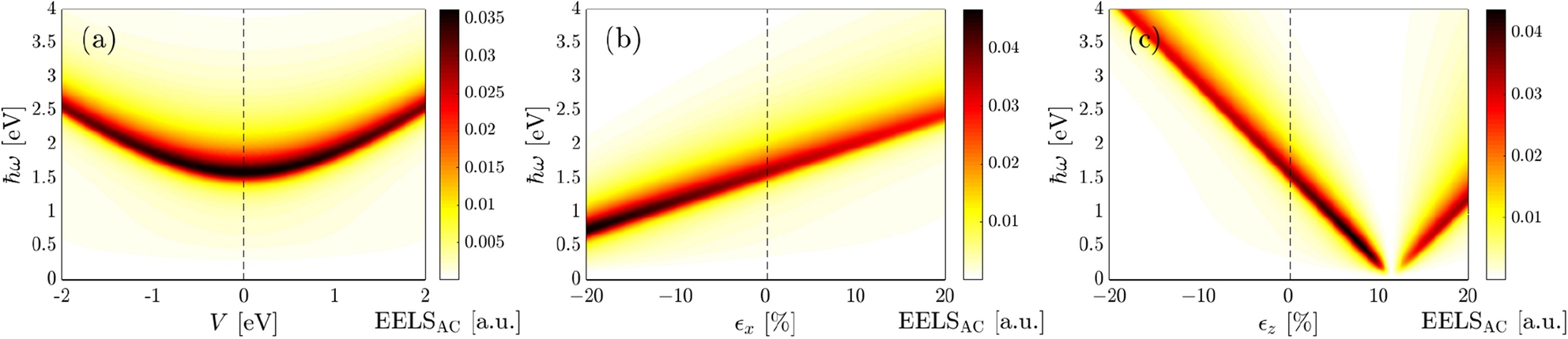
EELS (in arbitrary units) of monolayer perturbed BP along the AC direction as functions of the incident optical energy \(\hbar \omega\), (a) gate voltage V in the absence of strain \(\epsilon _x = \epsilon _y = \epsilon _z = 0\), (b) strain \(\epsilon _x\) at \(V=0\) eV and \(\epsilon _y = \epsilon _z = 0\) and (c) strain \(\epsilon _z\) at \(V=0\) eV and \(\epsilon _x = \epsilon _y = 0\).