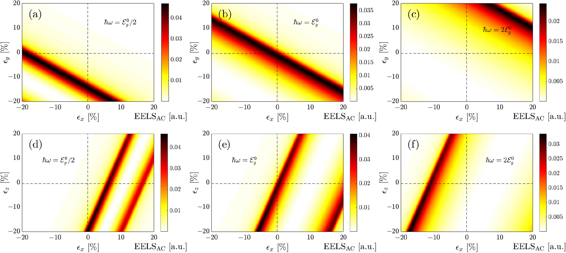
Figure 7
From: Systematic competition between strain and electric field stimuli in tuning EELS of phosphorene

Low-energy interband part of the EELS in phosphorene along the AC direction for the combined effects of \(\epsilon _y\) and \(\epsilon _x\) at the optical energy (a) \(\hbar \omega = \mathcal {E}^0_g/2\), (b) \(\hbar \omega = \mathcal {E}^0_g\) and (c) \(\hbar \omega = 2\mathcal {E}^0_g\). Corresponding results for the combined effects of \(\epsilon _z\) and \(\epsilon _x\) are presented in (d–f).