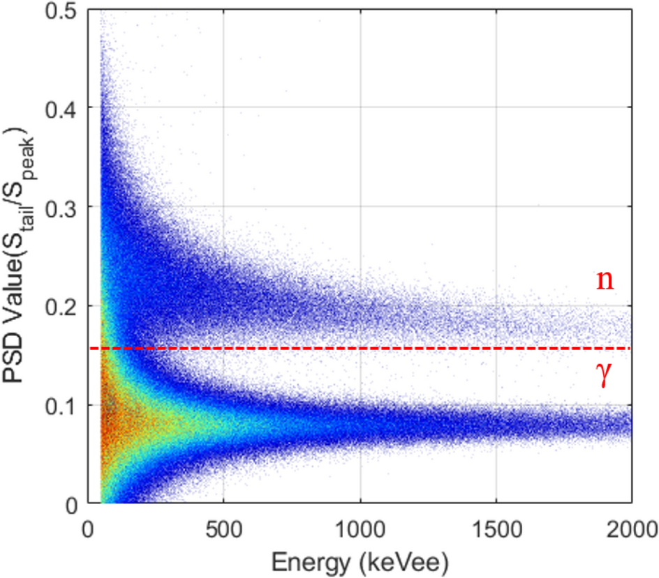
Figure 4

source located 50 cm away from the front of detector. The dashed PSD cutoff line is established by the user.
PSD plot for 1,800,000 pulses with an energy threshold of 50 keVee produced by the stilbene-SiPM array module measuring a 3.5 × 105 n/s 252Cf spontaneous fission