Figure 5
From: Automated detection of cerebral microbleeds on T2*-weighted MRI

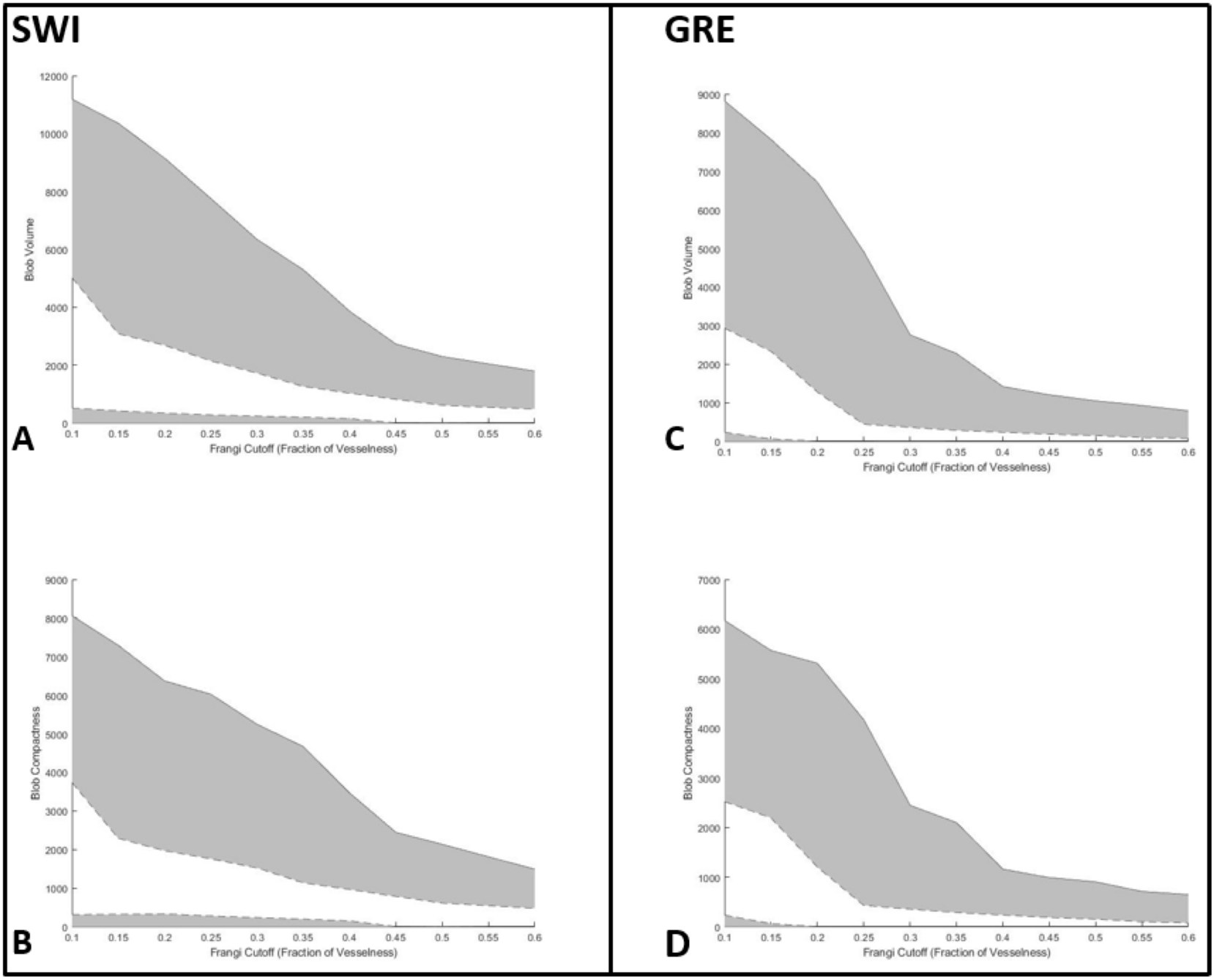
Illustration of Frangi-filter threshold effect on blob size and compactness. The dashed lines represent the bounds of the volumes of true positives, while the solid lines represent the bounds of the volumes of false positives. All false positives that fall within the shaded grey areas are removed. The purpose of trying a range of thresholds for vesselness was to determine the points of maximum difference (i.e., where the shaded area is largest, and therefore removes the most false positives). (A) Range of volume of central blobs in Frangi-filtered ROIs on SWI images across different thresholds. (B) Range of central blob compactness in Frangi-filtered ROIs on SWI images across different thresholds. (C) Range of volume of central blobs in Frangi-filtered ROIs on GRE images across different thresholds. (D) Range of compactness of central blobs in Frangi-filtered ROIs on GRE images across different thresholds.