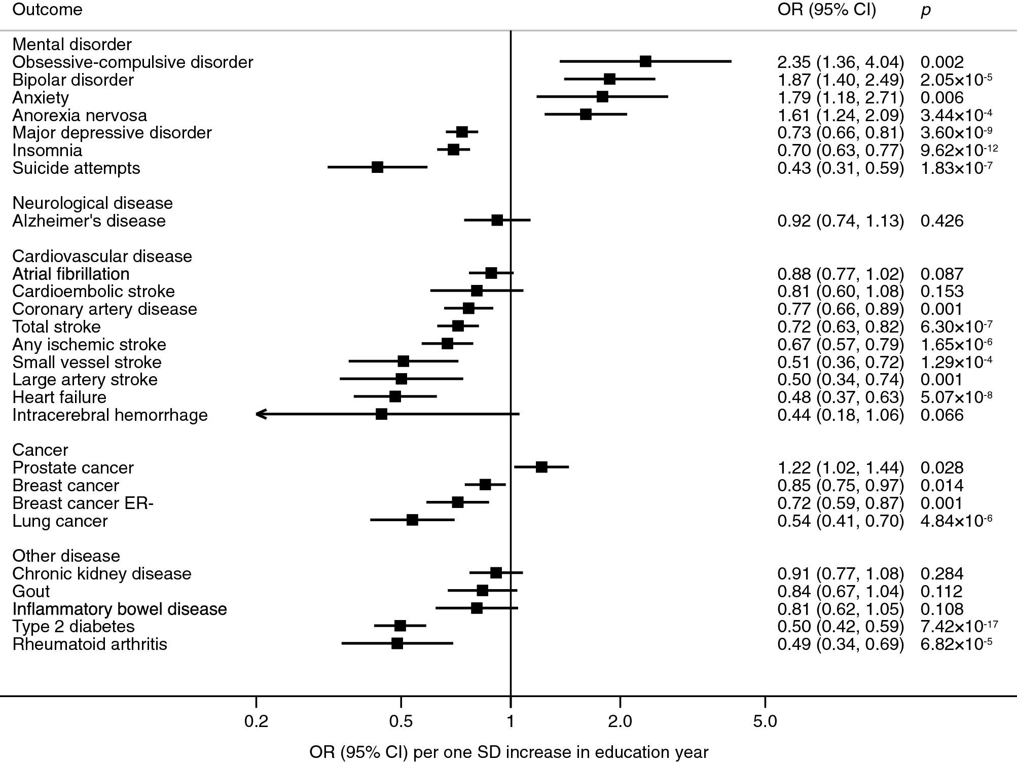
Figure 2
From: Genetically predicted education attainment in relation to somatic and mental health

Associations of genetic predisposition to higher education level with health outcomes in multivariable MR analyses with adjustment for genetically predicted intelligence. CI confidence interval, ER oestrogen receptor, IVW inverse-variance weighted, OR odds ratio, SD standard deviation.