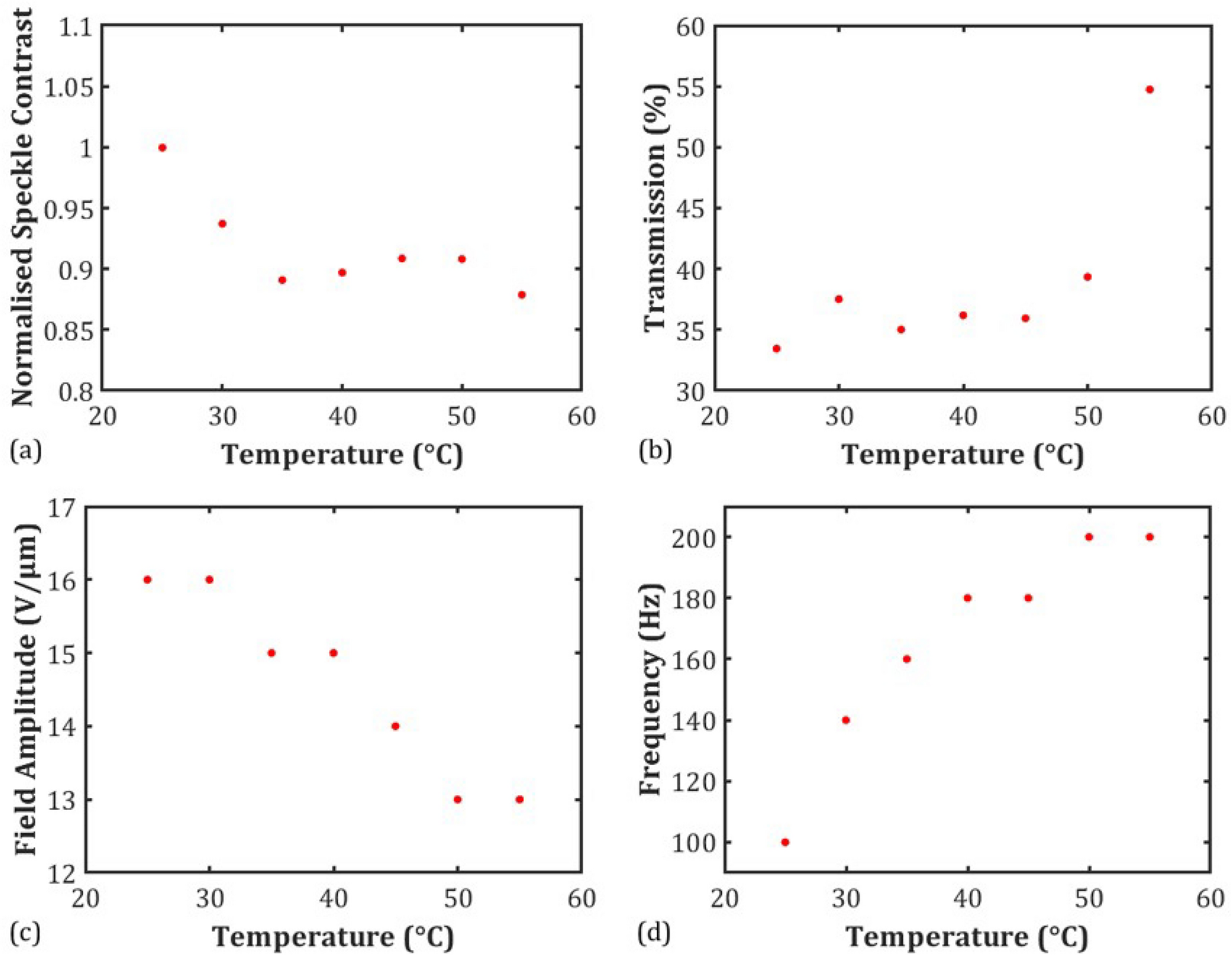
Figure 7

The temperature dependence of (a) minimum speckle contrast normalised to the value of C at 25 °C, (b) transmission, (c) electric field amplitude and (d) frequency at the minimum speckle contrast conditions. Devices were nominally 20 µm-thick and contained the chiral nematic LC mixture, E7 + 5.1 wt% BDH1281, which had a pitch of p = 273 nm at 25 °C.