Figure 3
From: Osteopathy modulates brain–heart interaction in chronic pain patients: an ASL study

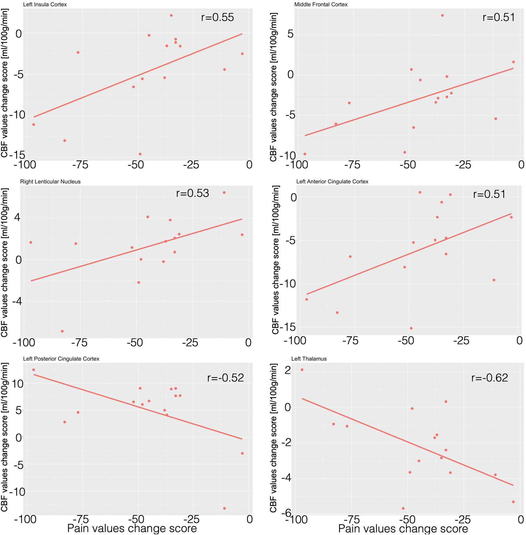
Correlation between rCBF and pain. The figure shows the significant positive and negative correlations between regional cerebral blood flow mean changes within ROI and pain intensity changes in the treatment group.