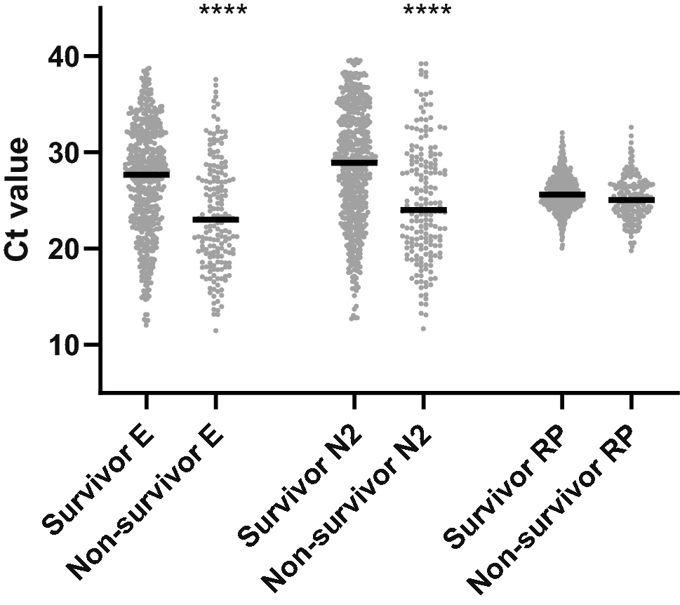
Figure 3

Ct value distribution by survival. Solid black lines represent median Ct values for designated age groups. Statistical significance for comparison between survivor and non-survivor was labeled by ****p < 0.0001.

Ct value distribution by survival. Solid black lines represent median Ct values for designated age groups. Statistical significance for comparison between survivor and non-survivor was labeled by ****p < 0.0001.