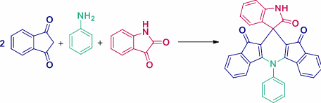
Table 3 The efficiency of MCM-41-SO3H as compared to other reported catalysts in the model reaction.

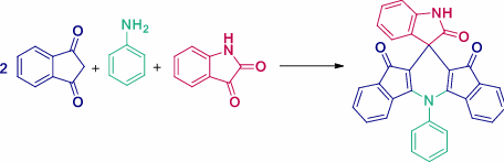
From: A straightforward, environmentally beneficial synthesis of spiro[diindeno[1,2-b:2′,1′-e]pyridine-11,3′-indoline]-2′,10,12-triones mediated by a nano-ordered reusable catalyst

View full size image

Entry

Reaction conditions

Time, min

Yield, %

References

1

PTSA/62 mg/grinding/

3–4

85

34

2

PTSA/30 mol%/CH3CN/reflux

60

82

35

3

PEG-OSO3H/30 mol%/80 °C

10

94

36

4

[NMP]H2PO4/30 mol%/80 °C

15

92

36

5

LTTM/excess/80 °C

20

94

37

6

Zn (BDC) MOF/5 g/80 °C

25

96

38

7

MCM-41-SO3H/20 mg/100 °C

20

95

Present work