Figure 6
From: Predicting chromosome damage in astronauts participating in international space station missions

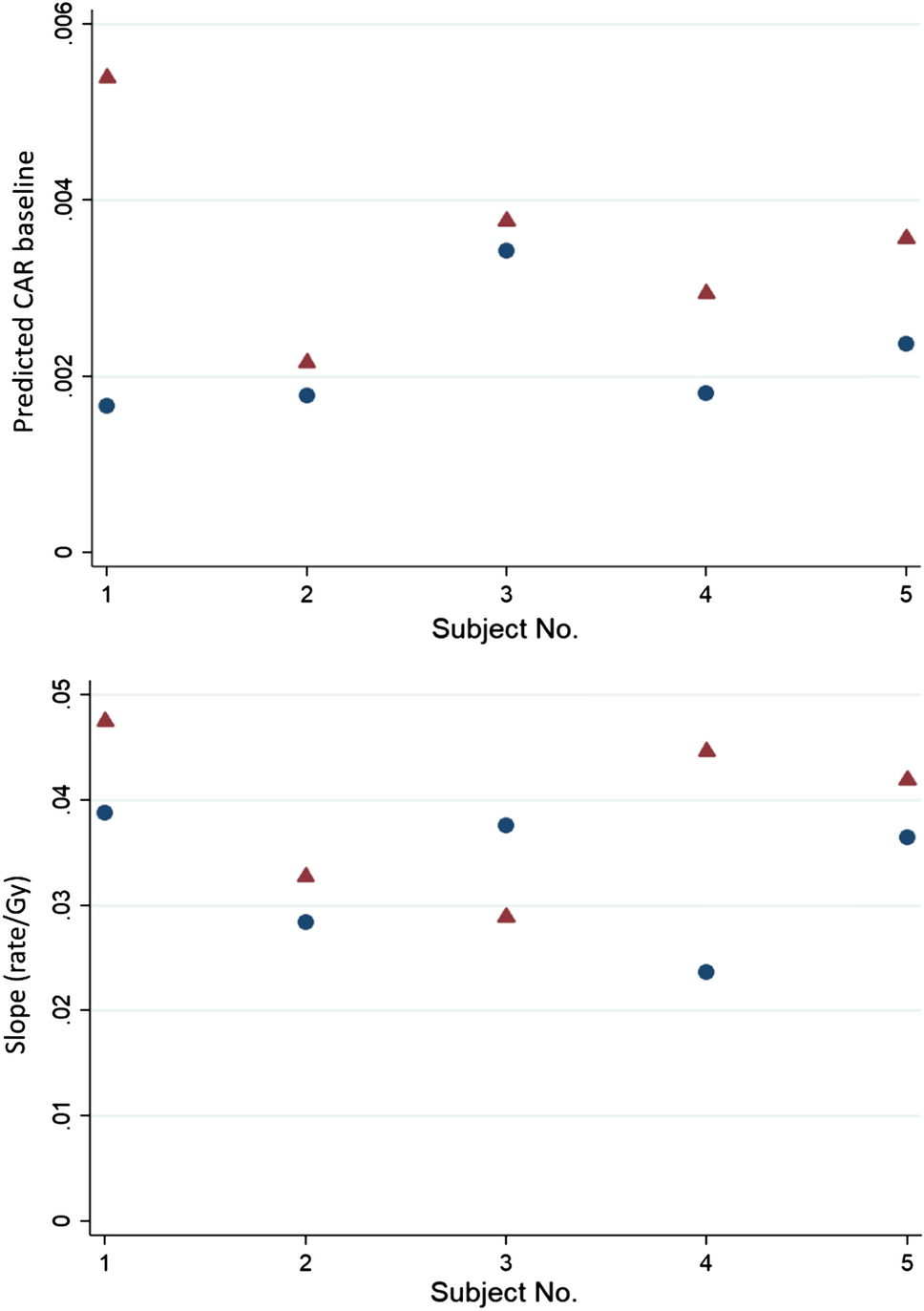
Background CAR (top panel) and average dose–response slope (Eq. 6) (bottom panel) prior to the first (blue circle) and second (red triangle) ISS missions for 5 repeated flyers. The background was about the same or higher prior to the second mission for all 5 of these astronauts, whereas the average slopes were higher prior to the second mission for 4 of these 5 astronauts.