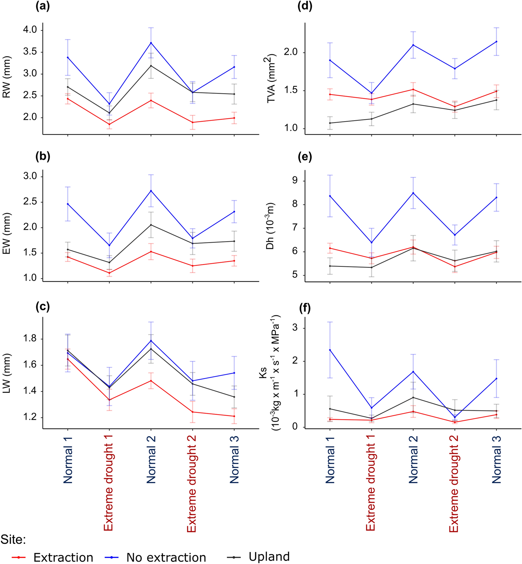
Figure 3

Development of growth: (a) ring-width (RW); (b) earlywood-width (EW); (c) latewood-width (LW), vessel and hydraulic variables: (d) total vessel area (TVA); (e) hydraulic diameter (Dh); (f) theoretical hydraulic conductivity (Ks) in the periods during the two droughts as well as pre, and post-drought (normal). See also Supplementary Fig. S4 for the exact non-dry years considered in the pre- and post-drought periods. Points indicate average values of each ring-width or vessel related variable and bars show the standard error of the mean.