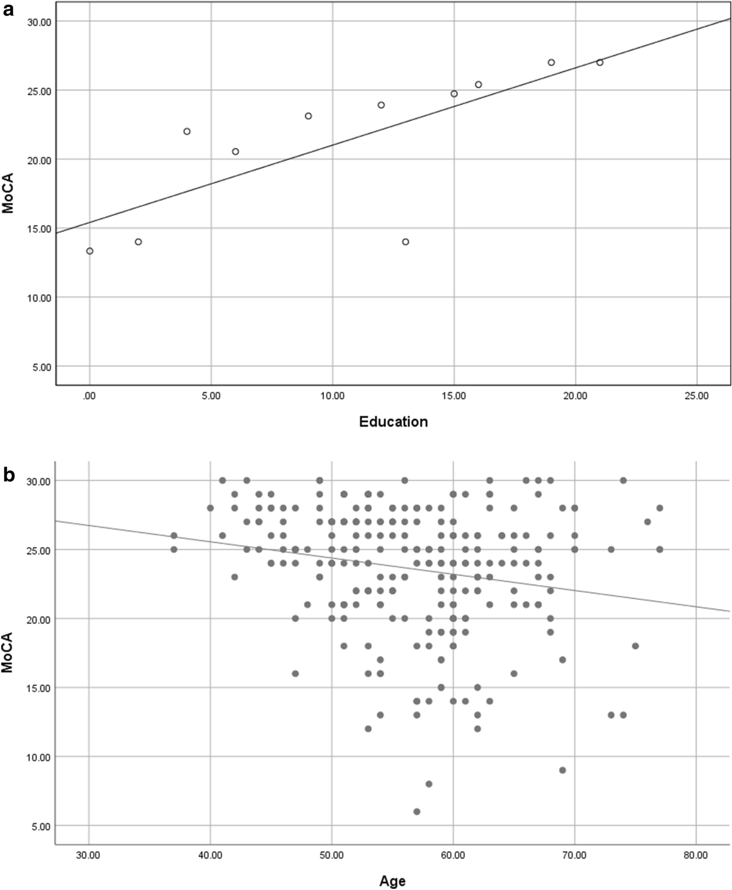
Figure 2

Correlations of total MoCA score with age and education duration for MSA patients (A,B). (A) Total MoCA score was positively correlated with education duration in MSA patients (r = 0.44, P < 0.01); (B) total MoCA score was negatively correlated with age in MSA patients (r = − 0.20, P < 0.01).