Thank you for visiting nature.com. You are using a browser version with limited support for CSS. To obtain
the best experience, we recommend you use a more up to date browser (or turn off compatibility mode in
Internet Explorer). In the meantime, to ensure continued support, we are displaying the site without styles
and JavaScript.
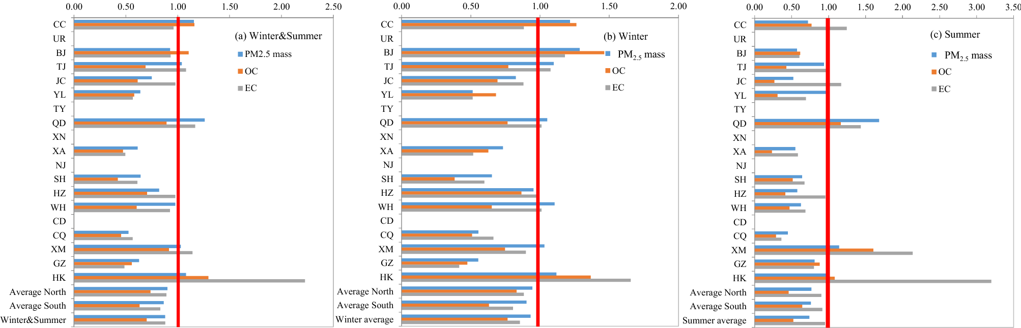
Ratios of 2013 to 2003 measurements for PM2.5 mass, OC, and EC concentrations in 14 cities (See Table 1 for site descriptions). No data available for Urumqui [UR], Taiyuan [TY], Xining [XN], Nanjing [NJ], and Chengdu [CD] in the 2003 study24.