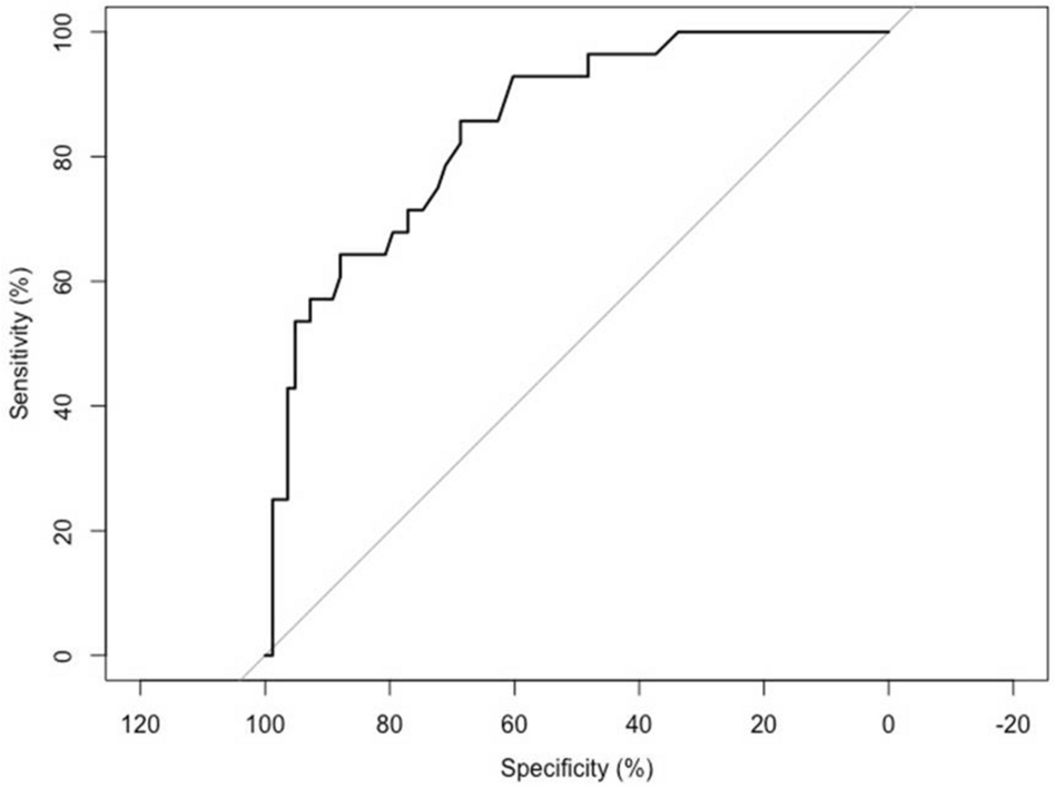
Figure 1
From: MR-proADM as prognostic factor of outcome in COVID-19 patients

AUROC analysis: MR-proADM on combined event of death or orotracheal intubation (IOT). AUROC: 0.849 [0.771–0.730], p < 0.0001. Optimal cut-off value of MR-proADM: 0.895; a sensitivity of 0.857 [0.728–0.987] and a specificity of 0.687 [0.587–0.787] correspond to this cutoff value.