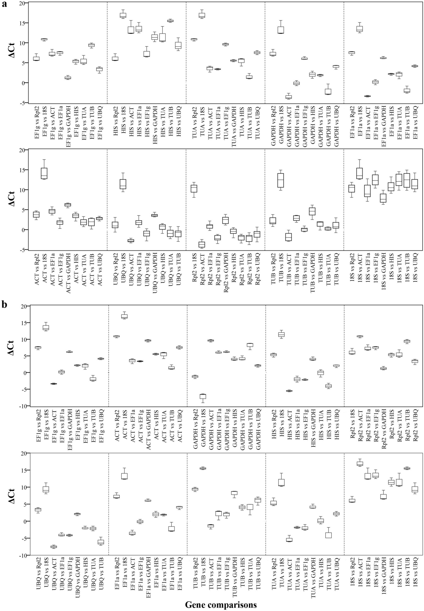
Figure 5

ΔCt method for reference gene selection in Liriodendron hybrids. ΔCt variability in reference gene comparisons are shown as medians (lines), 25th percentile to the 75th percentile (boxes) and ranges (whiskers) for all eight samples in the somatic embryogenesis group (a) and three samples in the germination group (b).