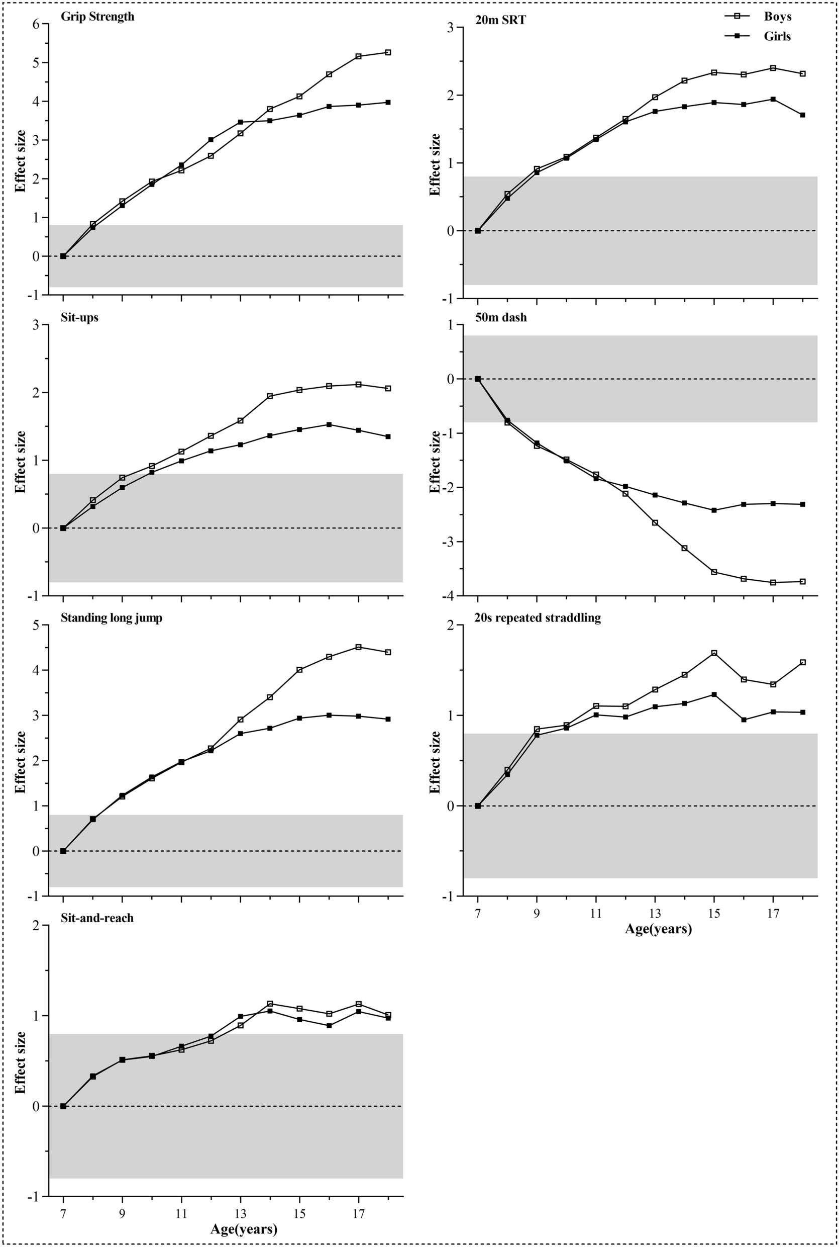
Figure 2
From: Physical fitness reference standards for Chinese children and adolescents

Age-related difference in each physical fitness test ((A) grip strength, (B) 20-m SRT, (C) 30-s sit-ups, (D) 50-m dash, (E) standing long jump, (F) 20-s repeated straddling, (G) sit and reach) expressed as standardized effect sizes (anchored to age 7 years = 0). The limits of the grey zone represent the threshold for a large standardized difference (i.e., 0.8 or − 0.8). Positive effect sizes indicated that mean fitness test performances for older children and adolescents were higher than those for 7 years old children.