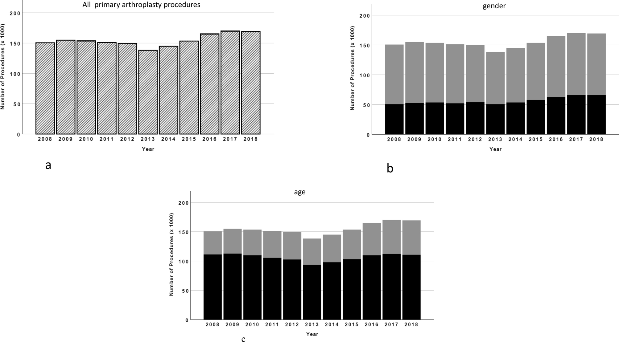
Figure 1
From: A retrospective analysis of trends in primary knee arthroplasty in Germany from 2008 to 2018

(a) All performed primary knee arthroplasty procedures from 2008 to 2018. (b) All performed primary knee arthroplasty procedures from 2008 to 2018, with regard on the gender of patients (grey = female; black = male). (c) All performed primary knee arthroplasty procedures from 2008 to 2018, with regard on the age of patients (grey: < 65 years; black ≥ 65 years).