Figure 5
From: Examining changes in personality following shamanic ceremonial use of ayahuasca

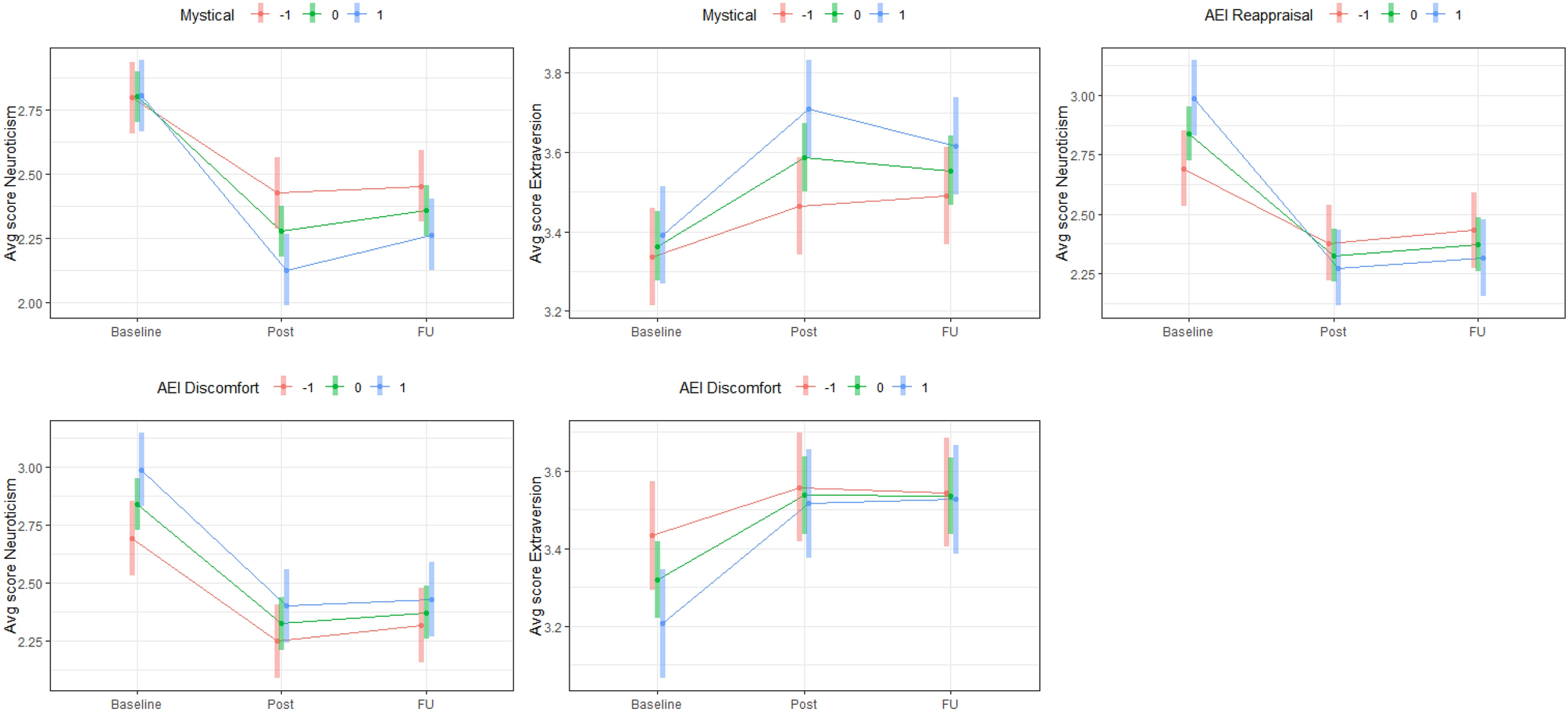
Line plots illustrating moderation of change in personality by experiential factors. Levels of experiential factors correspond to − 1, 0, and 1 standard deviations. AEI Ayahuasca Experience Inventory.