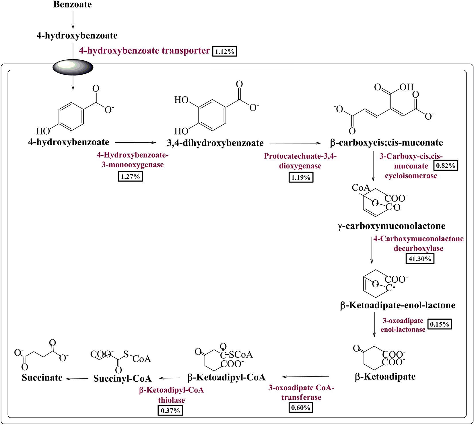
Figure 4

Mapping of the metabolic features associated with oxygenase coupled protocatechuate mediated aerobic pathway for benzoate metabolism. The relative abundance of the benzoate catabolic protein features in the current metagenome datasets is shown in percentage.