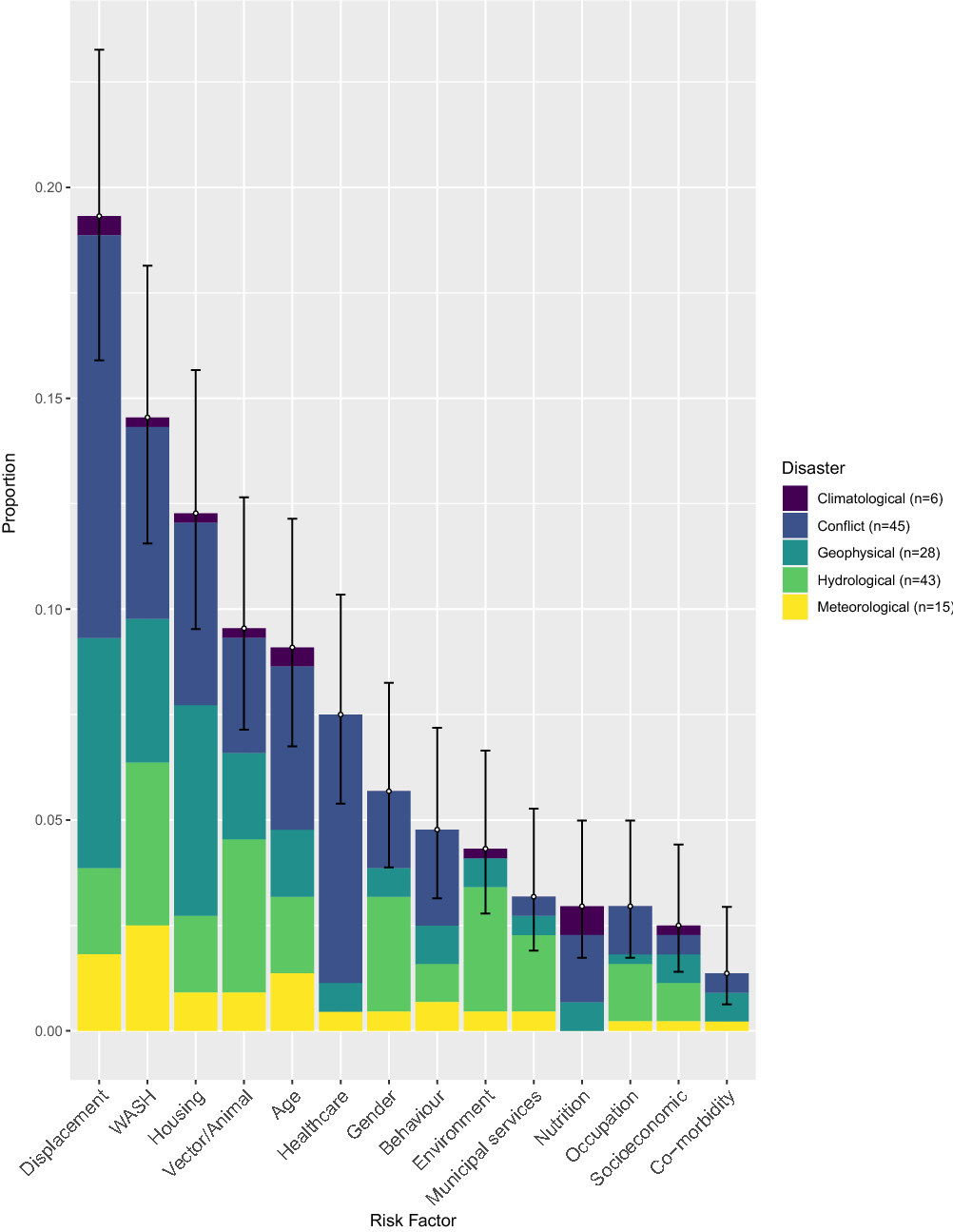
Figure 5
From: Traits and risk factors of post-disaster infectious disease outbreaks: a systematic review

Proportions of the fourteen main risk factor clusters out of the 418 risk factors reported in the search results, against disaster, with binomial confidence intervals (95%). WASH—Water, sanitation & hygiene.