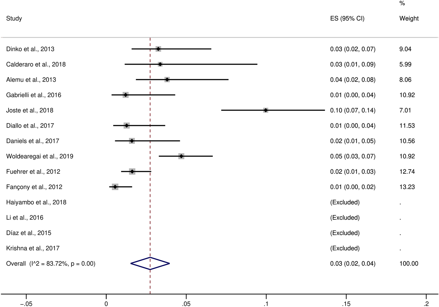
Figure 4

The pooled proportion of P. ovale wallikeri malaria. ES estimated proportion, CI confidence interval, Random random-effects model. The studies conducted by Haiyambo et al. (2018), Li et al. (2016), Díaz et al. (2015), and Krishna et al. (2017) were excluded from the analysis because no P. ovale curtisi case was reported.