Figure 3
From: Minimally invasive supratentorial neurosurgical approaches guided by Smartphone app and compass

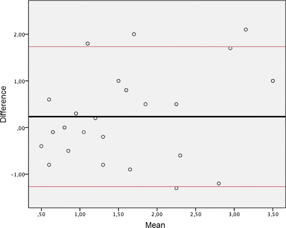
Bland Altman plot (inter-evaluators).
From: Minimally invasive supratentorial neurosurgical approaches guided by Smartphone app and compass

Bland Altman plot (inter-evaluators).