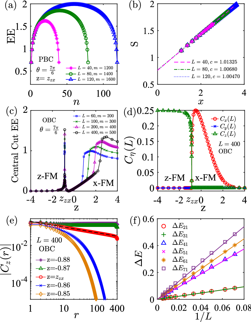
Figure 5
From: Exact dimer phase with anisotropic interaction for one dimensional magnets

(a) and (b) show EE and central charge c at the boundary between z-FM and x-FM phase at \(\theta = 7\pi /6\) with \(z_{\text {zx}} = -0.86602\), by DMRG method with PBC. The dashed lines in (b) are fitted by Eq. (28) with \(x=\ln (\frac{L}{\pi }\sin \frac{\pi n}{L})\), yielding \(c = 1\). (c) Central cut EE as a function of z at \(\theta = 7\pi /6\) for different L and bond dimension m. (d) Spin–spin correlation functions \(C_\eta (L)\) (\(\eta =x,y,z\)) as a function of z at \(\theta = 7\pi /6\) for \(L=400\). (e) Spin–spin correlation function \(C_z(r)\) at \(\theta = 7\pi /6\). At the phase boundary, \(C_z(r) \propto |r|^{-0.32}\), by DMRG method with OBC. (f) Scaling of excitation gaps \(\delta E_{n1} \propto 1/L\) for all n at the boundary (\(\theta = 7\pi /6\) with \(z_{\text {zx}} = -0.86602\)) as a function of chain length, indicating of gapless and criticality.